Закрытые системы теплоснабжения

При качественном регулировании отпуска теплоты расчетные расходы сетевой воды на отопление и вентиляцию, т/ч, согласно [4] определяются по следующим формулам:


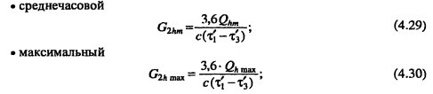
Расчетные расходы сетевой воды на горячее водоснабжение, т/ч, зависят от схемы присоединения водоподогревателей и определяются по [4, п. 5.2]:

а) при параллельной схеме присоединения водоподогревателей:


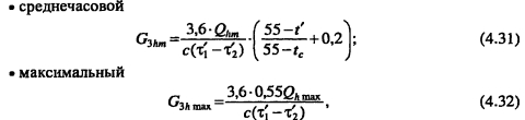
б) при двухступенчатых схемах присоединения водоподогревателей среднечасовой


Суммарный расчетный расход сетевой воды, т/ч, в двухтрубных тепловых сетях при качественном регулировании по отопительной нагрузке


Для потребителей при отсутствии баков-аккумуляторов, а также с тепловым потоком 10 МВт и менее, суммарный расчетный расход воды определяется по [4, п. 5.3]


При центральном качественном регулировании отпуска теплоты по совмещенной нагрузке отопления и горячего водоснабжения расчетный расход сетевой воды в двухтрубных тепловых сетях определяется как сумма расходов воды на отопление и вентиляцию без учета нагрузки горячего водоснабжения (К3=0)


Теплоснабжение и вентиляция. Курсовое и дипломное проектирование. /Под ред. проф. Б. М. Хрусталева - М.: Изд-во АСВ, 2005.

на главную