Выбор холодильной машины

Организация практического использования холодильных машин в системе кондиционирования воздуха связана с решением множество технических проблем [38, 39, 40]: обеспечение пуска компрессора; выбор приборов контроля, средств и методов управления и автоматизации; защиты установки и персонала при возникновении чрезвычайных ситуаций; опорожнения и заправки холодильного цикла хладоагентом и т.д. По этим причинам холодильная машина представляет собой сложный инженерный комплекс трубопроводов, запорно-регулирующей арматуры, средств контроля, защиты и управления, порядок и место размещения которых определяется на основании опыта н знаний о характере происходящих процессов. Схема одного из вариантов устройства холодильной машины представлена на рис. 2.37. Отметим, что в связи с широким поступлением на рынок зарубежных холодильных машин распространено и их новое название - чиллеры (chil (англ.) - холод).


Предохранительный клапан 3 устанавливается в контуре холодильной машины при установке после компрессора пароохладителя. Он предназначен для защиты его от высокого давления. В пароохладителе происходит снижение температуры перегретых паров хладоагента. Теплота охлаждения передается нагреваемой воде. Предохранительный клапан 11 предназначен для защиты от высокого давления испарителя холодильной машины. Защита теплообменников и других элементов холодильной машины от превышения давления может осуществляться и с помощью реле давления, которые дают информацию аналитической электронной системе и она принимает решение о дальнейшем функционировании машины при превышении давления и выдает сообщение оператору. Сброс давления через предохранительные клапана (фактически сброс хладоагента) следует рассматривать как крайнюю меру

Холодильные машины (чиллеры) поставляются на рынок в следующих исполнениях

- стандартном,

- малошумном и особо малошумном (компрессор размещается в звукоизолирующем корпусе),

-с пароохладителем # утилизацией теплоты перегретого пара хладоагента,

- одноконтурные и двухконтурные,

- с установкой в каждом контуре одного или нескольких компрессоров одинаковой или различной производительности,

- с различными по принципу действия компрессорами в герметичном (бессальниковом) и полугерметичном (сальниковом) исполнении

Инженерное оборудование холодильной машины в той или иной степени (в соответствии с условиями эксплуатации и требованиями заказчика) содержат следующее элементы и системы

- систему пуска компрессора (компрессоров),

- защиту о г перегрева и перегрузок компрессора и оборудования ХМ,

- защиту от низкого давления в системе,

комплект манометров, термометров для контроля давления и температуры в компрессоре и аппаратах холодильной машины,

- мерные стекла для визуального контроля уровня холодильного агента в испарителе и конденсаторе,

- средства проверки, если это необходимо, правильности вращения ротора компрессора,

- средства контроля и регулирования параметров системы смазки компрессора,

- системы и средства, обеспечивающие непрерывность процесса смазки взаимно перемещающихся элементов компрессора или других механизмов, входящих в состав холодильной машины,

- систему контроля и управления режимом работы вентиляторов воздушного и насосов водяного конденсатора,

- защиту от быстрого повторного включения компрессора при циклическом режиме его работы,

- прогрев перед пуском в холодный период года картера компрессора (при наружной установке),

- систему защиты испарителя от замораживания и прогрев его при замерзании,

- систему дренажа конденсата от испарителя при охлаждении им воздуха и средства обогрева данного конденсатопровода в холодный период года,

- электронные системы автоматизации и контроля работы компрессора и оборудования ХМ, в том числе регулирование с помощью терморегулирующего вентиля степени перегрева хладоагента после испарителя,

- систему контроля состояния и средства очистки хладоагента,

- электронные системы сигнализации об отключении и включении компрессора (компрессоров), о возникновении высокого или низкого давления, о работе вентиляторов (насосов) конденсатора, случайной задержке включения компрессора, состояния контуров и т д,

- дисплей для визуализации режимов работы холодильной машины и принтер для их распечатки,

- гидромодуль для обеспечения циркуляции охлаждаемой воды или холодоносителя через испаритель и подачи их потребителю холода,

- средства контроля параметров и регулирования температуры холодоносителя на выходе из испарителя,

- реле контроля величины потока холодоносителя через испаритель (с целью предотвращения его замерзания)

Приведенная информация показывает, что холодильная машина является сложным техническим комплексом и при ее выборе следует учитывать множество факторов При выборе ее приходится решать задачи по применению тех или иных представленных выше систем и средств Наиболее целесообразно применять элементы холодильной машины и средства автоматизации комплектной поставки от одного производителя

Выбор холодильной машины начинается с определения величины холодильной нагрузки и характера ее изменения во времени При переменной во времени холодильной нагрузке к установке следует принимать несколько холодильных машин, в том числе и двухконтурных с одинаковыми или различными по производительности компрессорами Характер изменения нагрузки во времени позволяет принять решение о комплектации системы холодоснабжения в такой ситуации

Холодильная нагрузка определяется по потребности кондиционера в холоде и с учетом транспортных потерь


При обслуживании холодильной машиной нескольких кондиционеров необходимо учитывать сумму их холодопотребления Холодопроизводительность выбираемой холодильной машины должна превышать требуемую холодильную нагрузку на 10 20%

Следующим важным моментом при выборе холодильной машины является выбор хладоагента, который должен циркулировать в проектируемом холодильном цикле

Большое количество хладоагентов, многообразие их термодинамических, технических, эксплуатационных, экологических, санитарно-гигиенических и физико-химических свойств предопределяют трудность их выбора Многообразие говорит и об отсутствии хладоагентов с полностью положительной характеристикой.

Рекомендуется выбирать хладоагенты с минимальным значением следующих параметров: температуры кипения при нормальном давлении Ри давления конденсации RK, разности давлений Рк - Ри, отношения давлений, плотности пара на всасывании компрессора, адиабатной работы, показателя адиабаты к, теплоемкости в жидком состоянии. Одновременно желательно иметь давление кипения в испарителе выше атмосферного (для предотвращения подсоса воздуха) и большее значение объемной холодопроизводительности.

Помимо приведенных рекомендаций при выборе хладоагентов следует учитывать термическую стабильность, токсичность, экологическую безопасность, взрывопожароопасность, стоимость, доступность, эксплуатационные показатели и т.д. Экологическая опасность хладонов, полученных из углеводородов путем замещения атомов водорода на атомы фтора, хлора и брома, определяется количеством атомов хлора и брома в их молекуле. В системах комфортного кондиционирования воздуха не допускается применение токсичных хладоагентов.

В процессе эксплуатации холодильный агент может уходить из контура холодильной машины. По этой причине особое внимание следует уделять доступности хладоагента, т.е. массовости его производства, уровню цены, транспортных расходов по доставке и срокам поставки. При применении в контуре холодильной машины смесей хладоагентов следует учитывать, что при появлении утечек в первую очередь уходит из контура более летучая часть смеси. В результате этого нарушаются свойства смеси, изменяются параметры работы холодильной машины. При применении смесей устанавливается максимальный суммарный объем утечек. Он в среднем составляет 30%. После этого следует полностью менять холодильный агент в контуре машины.

Подробные рекомендации по выбору хлагоагентов и их смесей приведены в специальной литературе.

Следует отметить также, что приоритет в выборе холодильного агента принадлежит изготовителю оборудования или разработчику холодильных машин. Он диктуется множеством выше перечисленных факторов, а также назначением машины, условиями ее применения, множеством технических и экономических факторов, возможностями изготовления или закупки комплектующих, доступностью и возможностью применения холодильного агента.

Основными величинами, ограничивающими температурный диапазон применения хладоагента, является температура кипения Ти и температура конденсации ТК. При назначении этих параметров следует учитывать приводимые ниже рекомендации.

При применении в составе кондиционера воздухоохладителей с непосредственным кипением в трубках хладоагента температура кипения его не должна быть выше конечной температуры охлаждаемого воздуха, а средняя разность температур между температурой кипения хладоагента и средней температурой воздуха в процессе охлаждения должна быть примерно 10°, т.е.


При охлаждении в испарителе воды, подаваемой в аппарат тепловлажностной обработки или в воздухоохладитель, изменение температуры воды должно составлять 4...5°, а средняя разность температур между температурой кипения и средней температурой охлаждаемой воды должна быть 5...8°. При этом температура кипения хладоагента должна быть не выше конечной температуры воды.


При этом расход охлаждаемой в испарителе воды рассчитывается по формуле


В конденсаторе холодильной машины, охлаждаемом наружным воздухом (воздушном конденсаторе) температура конденсации должна быть не ниже конечной температуры охлаждающего воздуха, нагрев воздуха должен составлять 6...8°, а средняя разность температур составлять 10...20°, т.е.


В водяных конденсаторах средняя разность между температурой кон

денсирующегося хладоагента и температурой отводящей теплоту воды должна составлять 5...8°, а нагрев воды 4...5°. Температура конденсации должна быть выше температуры воды на выходе.

Подбор холодильной машины в соответствии с назначенными опциями, видом хладоагента и холодильными нагрузками осуществляется по методическим пособиям, справочным материалам и их электронным версиям, имеющимся на кафедре.

Рассмотрим пример подбора холодильного оборудования для условий работы кондиционера CLIMAC1AT GI 200, укомплектованного представленными выше функциональными блоками В состав кондиционера входит моноблочный корпус с секцией форсуночной камеры и воздухоохладителем с непосредственным кипением хладоагента В этом случае требуется подобрать только компрессорно-конденсаторный блок, который вместе с уже имеющимся воздухоохладителем с непосредственным кипением хладоагента образуют замкнутый контур холодильной машины Наиболее оправданно к установке принимать компрессорно-конденсаторный блок этого же производителя

При производительности кондиционера по воздуху 16270 м3/час и удельном расходе холода 17,5 кДж/час кг (табл 2 68) расход холода на охлаждение воздуха в воздухоохладителе составляет


Принимаем потери холода при транспортировке его от компрессорноконденсаторного блока до воздухоохладителя равными 5 кВт (определяются расчетами в соответствии с реальными условиями прокладки трубопроводов), коэффициент запаса равен 1,15 В этой связи холодопроизводительность установки должна составлять


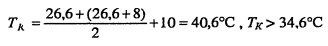
В соответствии с формулой 2 133 и данными таблиц 2 56 и 2 58, а также рис 2 33 определяем требуемую температуру кипения хладоагента в воздухоохладил еле


К установке принимаем конденсатор с воздушным охлаждением В соответствии с 2 136 температура конденсации холодильного агента будет равна


Холодопроизводительность, представляют основную информацию, необходимую для подбора компрессорно-конденсаторного блока В соответствии с электронной версией программы подбора оборудования фирмы С1АТ к установке рекомендован агрегат CONDENCIAT CD 400Z R407C, цена (без НДС, таможенной пошлины, транспортных расходов и т п ) - 19376 EUR

Производитель фирма С1АТ предлагает агрегаты и с использованием хладоагента R22, который в соответсвии с решениями Монреальской конвенции должен быть выведен из применения к 2030 году В этой связи выбор остановлен на холодильной машине с использованием R407C - смеси хладоагентов R32/Rl25/R134a (23/25/52) В скобках указано процентное содержание каждого компонента в исходной смеси Химическая формула компонентов R32 - CH2F2, R125 - C2HF5, R134a - СгЩ Компоненты смеси не содержат атомов хлора и брома и являются озонобезопасными Смесь хладоагентов позволяет улучшить термодинамические показатели холодильной машины за счет сокращения необратимых потерь в испарителе и конденсаторе.

Технические параметры моноблочного агрегата CONDENCIAT CD 400Z R407C:

- холодопроизводительность - 120,2 кВт;

- количество холодильных контуров - 2;

-компрессоры спиральные герметичного исполнения (scroll hermetic compressor (s));

- число ступеней регулирования холодопроизводительности за счет отключения-включения контуров: 100-63-37-0%;

- конденсатор из медных трубок с алюминиевым оребрением и полиуретановым защитным покрытием;

- число вентиляторов - 2; частота вращения 500 об/мин; расход воздуха на отвод теплоты от конденсатора - 18750 м3/час; мощность привода вентиляторов - 2 0,9 кВт;

- мощность, потребляемая электродвигателями компрессоров - 55 кВт;

- общий уровень звукового давления агрегата 51 ± 3 дБ;

- агрегаг укомплектован: щитом управления с коммутирующей аппаратурой; электронным контроллером с дисплеем; реле защиты от высокого и низкого давления; регулятором давления конденсации (вплоть до температуры наружного воздуха -15°С); фильтром-осушителем; смотровым стеклом;

- корпус из оцинкованных и окрашенных металлических панелей с теплоизоляцией.

Габариты установки: 2445-1300-1709 мм; масса в незаправленном состоянии- 1170 кг.

Теплоснабжение и вентиляция. Курсовое и дипломное проектирование. /Под ред. проф. Б. М. Хрусталева - М.: Изд-во АСВ, 2005.

на главную