Тепловой и гидравлический расчет водоподогревательных установок

Тепловой и гидравлический расчет водоподогревателей сводится к определению расчетной поверхности нагрева, выбора номера и количества секций, а также гидравлического сопротивления водоподогревателя по бреющей и нагреваемой воде.

Расчет водоподогревателей системы горячего водоснабжения при любых схемах подключения их к тепловым сетям производится для самого неблагоприятного режима, соответствующего точке излома температурного графика или по минимальной температуре воды, если отсутствует излом графика [4, п. 11.9] Для скоростных секционных водоподогревателей следует принимать противоточную схему потоков теплоносителей, при этом греющая вода из тепловой сети должна поступать в межтрубное пространство Кроме скоростных водоподогревателей, могут использоваться пластинчатые.

Число водоводяных подогревателей для системы горячего водоснабжения принимается равным двум параллельно включенным в каждой ступени подогрева, рассчитанных на 50% теплового потока [4, п. 11.12]. При максимальном тепловом потеке до 2 МВт предусматривается установка по одному водоподогревателю в каждой ступени нагрева

Водоподогреватели горячего водоснабжения присоединяются к тепловым сетям в ЦТП по параллельной или двухступенчатой схемам.

Расчет двухступенчатой последовательной схемы ведется по балансовой нагрузке горячего водоснабжения, а расчет двухступенчатой смешанной схемы производят при условии равенства температур сетевой воды после подогревателя второй ступени и после системы отопления. При наличии в системе горячего водоснабжения баков-аккумуляторов расчет производится по среднечасовой тепловой нагрузке, а при их отсутствии - по максимальной. Тепловой расчет водоподогревателей сводится к определению коэффициентов теплопередачи, площади поверхности нагрева и потерь давления в них греющей и нагреваемой воды. При этом скорость движения нагреваемой воды в трубках должна быть в пределах 1-2,5 м/с, в межтрубном пространстве - не более 2 м/с.

Методика теплового и гидравлического расчетов водоподогревательных установок приведена в [9, с. 136-148].

ПРИМЕР 4.28. Произвести тепловой и гидравлический расчеты водоподогревательной установки системы горячего водоснабжения, присоединенной по двухступенчатой смешанной схеме (рис 4.24) Тепловая нагрузка на отопление 800 кВт, а горячее водоснабжение 720 кВт Температура сетевой воды, соответствующая точке излома графика, 70°C, 42°С Температура холодной и горячей воды 5°С, 60°С Расчетная температура сетевой воды 150°С,70°С.


Температура нагреваемой воды на выходе из подогревателя первой ступени [9, форм. (V.16)].

Теплопроизводительность подогревателей второй и первой ступеней:


Температура сетевой воды на выходе из подогревателя первой ступени


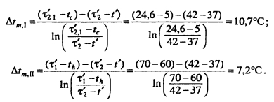
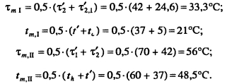
Среднелогарифмические разности температур между греющим и нагревательным теплоносителями в подогревателях первой и второй ступеней:


Средние температуры сетевой и нагреваемой воды в подогревателях первой и второй ступеней:


Задавшись скоростью нагреваемой воды 1) = 1 м/с, определяем требуемую площадь живого сечения трубного пространства подогревателя


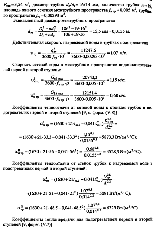
К установке принимаем скоростной водоподогреватель типа 08 ОСТ 34-588-68 с техническими данными: длина секции 4000 мм, внутренний диаметр корпуса ?>,= 106 мм, площадь поверхности нагрева одной секции сек=3,54 м2.




В летний период включается только подогреватель второй ступени. Причем к его шести секциям добавляется еще одна.

Потери давления в летнее время:


ПРИМЕР 4.29. Произвести тепловой и гидравлический расчеты водоподогревательной установки системы горячего водоснабжения, присоединенной по двухступенчатой последовательной схеме (рис. 4.25). Расчетный расход теплоты на отопление 800 кВт, горячее водоснабжение 328 кВт. Регулирование отпуска теплоты осуществляется по совмещенной нагрузке отопления и горячего водоснабжения. Температуру воды в тепловой сети принять из примера 4.5 (см. рис. 4.4). Температура горячей воды 60°С, холодной 5°С, воды, поступающей в систему отопления, при 50,5°С.


Решение Расчет водоподогревательной установки производим при минимальной температуре сетевой воды в подающей магистрали, соответствующей из примера 4.5 находим, что при н = 2,5°С температура сетевой воды в подающей магистрали по повышенному температурному график 81°С, после системы отопления по отопительному графику 42°С, при t0=-25°С расчетные температуры сетевой воды 150°С т2 = 70°С

Задавшись недогревом водопроводной воды до температуры греющей сетевой воды в нижней (первой) ступени подогревателя Дгн=5°С, находим температуру нагреваемой воды на выходе из подогревателя



Суммарный перепад температур сетевой воды в первой и второй ступенях при максимальной тепловой нагрузке на горячее водоснабжение


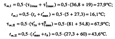
Средняя температура греющего и нагреваемого теплоносителей в подогревателях первой и второй ступеней при максимальной тепловой нагрузке на горячее водоснабжение:


Задавшись скоростью движения нагреваемой воды 1) = 1 м/с; определяем требуемую площадь живого сечения трубного пространства подогревателя первой ступени:


К установке подбираем секционный водоводяной подогреватель 08 ОСТ 34-588-68 со следующими техническими данными: внутренний диаметр трубок 14 мм, число трубок - 19 шт., площадь поверхности нагрева одной секции FCCK = 3,54 м2, площадь живого сечения трубок 0,00293 м2, площадь межтрубного пространства 0,005 м2, эквивалентный диаметр межтрубного пространства dee = 15,5 мм.

Действительная скорость движения воды в трубном и межтрубном пространстве подогревателей:


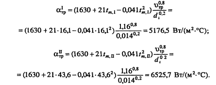
Коэффициенты теплоотдачи от сетевой воды к стенкам трубок в подогревателях первой и второй ступеней:


Коэффициенты теплоотдачи от стенок трубок к нагреваемой воде в первой и второй ступенях:


Коэффициенты теплопередачи подогревателей первой и второй ступеней:


Требуемая поверхность нагрева подогревателей первой и второй ступеней:


Количество секций в подогревателях первой и второй ступеней:


К установке принимаем соответственно 5 и 2 секции.

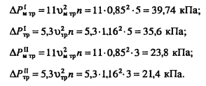
Потери давления в трубном и межтрубном пространстве подогревателей первой и второй ступеней:


Далее в зависимости от компоновки теплового пункта следует произвести подбор насосов, водомеров, грязевиков и т д

Теплоснабжение и вентиляция. Курсовое и дипломное проектирование. /Под ред. проф. Б. М. Хрусталева - М.: Изд-во АСВ, 2005.

на главную