Сопротивление теплопередаче наружных ограждающих конструкций

Ограждающие конструкции зданий должны иметь определенное значение сопротивления теплопередаче, от которого зависят затраты на эксплуатацию зданий и санитарно-гигиенические условия помещений.

Наружные ограждающие конструкции, за исключением заполнения проемов (окон, фонарей, витрин, дверей, ворот) и ограждающих конструкций помещений, в которых имеются избытки явной теплоты, должны иметь сопротивление теплопередаче Rr, м2°С/Вт, равное экономически целесообразному, но не менее требуемого сопротивления теплопередаче, определяющего санитарно-гигиенические условия, и не менее нормативного сопротивления теплопередаче, установленного [1].

Расчет сопротивления теплопередаче производят следующим образом.

Вначале определяют требуемое сопротивление теплопередаче по формуле (7.3). Затем с учетом тепловой инерции D, соответствующей RT, определяют требуемое сопротивление теплопередаче:



При наличии в теплоизоляционном слое ограждающей конструкции сквозных включений из материалов с большим, чем у материала этого слоя, коэффициентом теплопроводности для определения экономически целесообразного сопротивления теплопередаче принимают приведенный коэффициент теплопроводности слоя:


Расчет наружной ограждающей конструкции производят по большему из трех определенных значений сопротивлений теплопередаче.

Сопротивление теплопередаче наружных ограждающих конструкций (кроме заполнений проемов) помещений с избытками явной теплоты должно быть не менее требуемого сопротивления теплопередаче по санитарно- гигиеническим условиям, определяемого по [1, (5.2)].

Сопротивление теплопередаче наружных дверей и ворот должно быть не менее 0,6 значения требуемого сопротивления теплопередаче наружных стен, определенного по формуле (1.4) при расчетной зимней температуре наружного воздуха, равной средней температуре наиболее холодной пятидневки обеспеченностью 0,92.

Сопротивление теплопередаче заполнений наружных световых проемов должно быть не менее требуемого сопротивления теплопередаче, приведенного в [1, табл. 5.6]. При этом заполнения наружных световых проемов (кроме помещений с избытками явной теплоты) должны иметь сопротивление теплопередаче не менее нормативного RTнорм = 0,6 м2°С/Вт [1, табл. 5.1].

Внутренние ограждающие конструкции между помещениями с нормируемой температурой воздуха при разности температур воздуха в них более 6°С должны иметь сопротивление теплопередаче не менее требуемого по санитарно-гигиеническим условиям, определяемого по формуле (1.4). При расчете требуемого сопротивления теплопередаче вместо расчетной зимней температуры наружного воздуха принимают расчетную температуру внутреннего воздуха более холодного помещения, а коэффициент, учитывающий положение наружной поверхности, принимают равным 1.

Сопротивление теплопередаче, ограждающей конструкции (кроме заполнений световых проемов) определяют:


При определении сопротивления теплопередаче внутренних ограждающих конструкций вместо а- принимают а,, помещения с более низкой температурой внутреннего воздуха.

Термическое сопротивление однослойной однородной ограждающей конструкции, а также однородного слоя многослойной конструкции определяют по формуле (7.2):


Термическое сопротивление многослойной ограждающей конструкции с однородными слоями определяют


Слои конструкции, расположенные между воздушной прослойкой, вентилируемой наружным воздухом, и наружной поверхностью ограждающей конструкции, в расчете не учитываются

Термическое сопротивление неоднородной ограждающей конструкции (например, кирпичной стены колодцевой кладки с теплоизоляционными вкладышами и т п ) определяют следующим образом

Плоскостями, параллельными направлению теплового потока, ограждающую конструкцию (или часть ее) условно разрезают на участки, из которых одни могут быть однородными - из одного материала, а другие - неоднородными - из слоев различных материалов, и определяют термическое сопротивление конструкции


Плоскостями, перпендикулярными направлению теплового потока, ограждающую конструкцию (или часть ее, принятую для определения RJ условно разрезают на слои, из которых одни могут быть однородными - из одного материала, а другие - неоднородными - из однослойных участков разных материалов

Определяют термическое сопротивление однородных слоев по формуле (7 2), неоднородных слоев - по формуле (7 9) и затем термическое сопротивление RQ конструкции - по формуле (7 8) как сумму термических сопротивлений отдельных однородных и неоднородных слоев

Если величина Ra не превышает величину R6 более, чем на 25%, определяют термическое сопротивление ограждающей конструкции


Если величина RB превышает величину R6 более чем на 25%, или ограждающая конструкция не является плоской, то термическое сопротивление такой конструкции определяют на основании расчета температурного поля.

При расчетных значениях температуры внутреннего гв и наружного н воздуха определяют среднюю температуру, °С, внутренней tBn и наружной tHn поверхностей ограждающей конструкции и вычисляют величину теплового потока через конструкцию qt Вт/м2:


Термическое сопротивление ограждающей конструкции определяют:


Если наружная ограждающая конструкция имеет теплопроводные включения, то температура ее внутренней поверхности в местах таких включений должна быть не ниже температуры точки росы внутреннего воздуха при расчетных значениях его температуры и относительной влажности и расчетной зимней температуре наружного воздуха.

Пример расчета 7.3.

Требуется рассчитать сопротивление теплопередаче и толщину теплоизоляционного слоя кирпичной стены жилого дома с теплоизоляционным слоем из торкрет-полистиролбетона для климатических условий Минской области.


Стена выполнена из керамического кирпича, толщина кладки - 380 мм, плотность в сухом состоянии - 1600 кг/м3.

С наружной стороны стены выполнен теплоизоляционный слой из торкрет-полистиролбетона плотностью 500 кг/м3.

С внутренней стороны стена оштукатурена известково-песчаным раствором толщиной 20 мм, плотностью 1600 кг/м3.

Согласно [1, табл. 4.1] расчетная температура внутреннего воздуха tB = - 18°С, относительная влажность рв = 55%.

Влажностный режим помещений - нормальный, условия эксплуатации ограждающих конструкций - «Б» [1, табл. 4.2].

Расчетные значения коэффициентов теплопроводности А. и теплоусвоения S материалов принимаем по [1, табл. А.1]для условий эксплуатации ограждений «Б»:


Нормативное сопротивление теплопередаче для наружных стен из штучных материалов согласно [1, табл. 5.1] равно 2,0 м2оС/Вт.

Для определения тепловой инерции стены находим термические сопротивления отдельных слоев конструкции:


Согласно [1, табл. 5.2] для ограждающей конструкции с тепловой инерцией свыше 7 за расчетную зимнюю температуру наружного воздуха следует принимать среднюю температуру наиболее холодной пятидневки обеспеченностью 0,92, которая для Минской области составляет Н=-24°С [1, табл. 4.3].

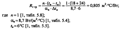
Находим требуемое сопротивление теплопередаче стены по (7.4):


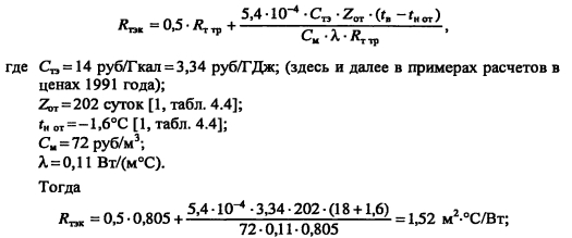
Определяем экономически целесообразное сопротивление теплопередаче по (7.5):


Таким образом, в соответствии с [1, п. 5.1] сопротивление теплопередаче рассчитываемой конструкции стены должно быть не менее нормативного, равного 2,0 Вт [1, табл. 5.1] и уточнять расчетную зимнюю температуру наружного воздуха не требуется.

Толщина теплоизоляционного слоя из торкрет-полистиролбетона при этом должна быть равна:


Теплоснабжение и вентиляция. Курсовое и дипломное проектирование. /Под ред. проф. Б. М. Хрусталева - М.: Изд-во АСВ, 2005.

на главную