Регулирование отпуска теплоты в открытых системах теплоснабжения

В двухтрубных водяных тепловых сетях открытых систем теплоснабжения центральное качественное регулирование отпуска теплоты, как и в закрытых системах, осуществляют по нагрузке отопления или по совмещенной нагрузке отопления и горячего водоснабжения.

Если тепловая нагрузка жилищно-коммунального сектора составляет 65% и более от суммарной тепловой нагрузки, то регулирование отпуска теплоты осуществляют по совмещенной нагрузке отопления и горячего водоснабжения. При меньшей нагрузке на жилищно-коммунальные нужды ц отношении 0,15 - регулирование осуществляют по нагрузке отопления [4, п. 4.6].

При центральном качественном регулировании отпуска теплоты по отопительной нагрузке в тепловой сети поддерживается отопительнобытовой температурный график. Системы отопления и горячего водоснабжения абонентов присоединяют к тепловым сетям по принципу несвязанной подачи теплоты. В этом случае расход сетевой воды на отопление поддерживается постоянным при помощи регулятора расхода РР, установленного перед элеватором системы отопления, и не зависит от переменного расхода воды на горячее водоснабжение.

Температуру воды в подающей и обратной магистралях при зависимых схемах присоединения систем отопления рассчитывают по формулам (4.14), (4.15). Минимальная температура сетевой воды в подающей магией ради открытых систем теплоснабжения принимается равной 60°С. Для этого отопительный график срезается на уровне 60°С; полученный график температур воды в тепловой сети называется отопительно-бытовым.

При регулировании отпуска теплоты по совмещенной нагрузке отопления и горячего водоснабжения потребители системы отопления и горячего водоснабжения присоединяются к тепловым сетям по принципу связанной подачи теплоты. Для этого регулятор расхода РР устанавливают на подающем трубопроводе абонентского ввода перед отбором воды на горячее водоснабжение, он поддерживает постоянный расход сетевой воды на ввод, равный расчетному на отопление, без учета нагрузки на горячее водоснабжение

Водоразбор из подающей линии уменьшает поступление сетевой воды в систему отопления. Небаланс теплоты на отопление компенсируется некоторым повышением температуры воды в подающем трубопроводе по сравнению с отопительным графиком. При этом методе регулирования строительные конструкции здания используются в качестве аккумулятора теплоты, выравнивающего неравномерности суточного графика теплопотребления.

Гидравлическая разрегулировка отопительных установок в периоды большого водоразбора на горячее водоснабжение из подающей линии может быть устранена при установке на перемычке элеватора центробежного насоса, который при этих режимах включается в работу.

При данном методе регулирования в тепловой сети поддерживают температурный режим по скорректированному (повышенному) температурному графику, который строится на основе отопительно-бытового.

Расчет скорректированного температурного графика заключается в определении температуры воды в подающей и обратной магистралях в диапазоне температур наружного воздуха от +8°С до С, при которой температура воды в обратной магистрали равна 60°С.

При температурах наружного воздуха от +8°С до С, когда водоразбор на горячее водоснабжение осуществляют как из подающей, так и из обратной линий теплосети, поступление воды в систему отопления меньше рас. четного расхода. В этом случае для удовлетворения отопительной нагрузки температура воды в подающем теплопроводе должна быть выше, чем это требуется по отопительно-бытовому графику. Температура сетевой воды в подающем Ti- И обратном т2- теплопроводах для скорректированного графика определяют по [9, форм. (IV.87), (IV.88)].



При температуре воды в обратной магистрали больше 60 °С водоразбор на горячее водоснабжение осуществляют только из обратной линии тепловой сети, и тогда в местную отопительную систему поступает расчетный расход сетевой воды Goma. Это позволяет оставить регулирование отпуска теплоты в интервале температур наружного воздуха С - t0 по отопительно-бытовому температурному графику.

ПРИМЕР 4.6. Построить для открытой системы теплоснабжения график центрального качественного регулирования отпуска теплоты по совмещенной нагрузке отопления и горячего водоснабжения (скорректированный температурный график). Для типового абонента; балансовый коэффициент х= 1,1- Расчетные расходы теплоты на отопление

Относительный расход сетевой воды на отопление G0i в диапазоне температур наружного воздуха +8°С - С, когда в систему отопления поступает расход воды меньше расчетного, определяют по [9, форм. (IV.86)] Qo max= 200 МВт, горячее водоснабжение 50 МВт. Температура горячей воды в системе горячего водоснабжения fA = 60°C, холодной воды 5°С, расчетная температура наружного воздуха для проектирования отопления t0=-25°C, температура воздуха в отапливаемых помещениях f(=18GC, расчетная температура сетевой воды в подающей и обратной магистралях при t0\ Ti = 150°C, т2. = 70°С. Местные системы отопления присоединены к тепловым сетям по зависимым схемам.

Решение. Вначале строим графики при регулировании отпуска теплоты по отопительной нагрузке (см. пример 4.4). Только в связи с непосредственным водоразбором на горячее водоснабжение (открытая система), отопительно-бытовой график имеет срезку не на 70°С, а на 60°С (рис. 4.5). Как видно из рис. 4.5 т2 = 60°С при =-15°С. Следовательно, в интервале температур наружного воздуха -15.. -25°С, когда т2 > 60°С и водоразбор на горячее водоснабжение осуществляется только из обратного трубопровода относительный расход сетевой воды на отопление G0 = G0/G0max = 1, и регулирование отпуска теплоты соответствует отопительному графику.


В интервале температур наружного воздуха от +8°С до -15°С регулирование отпуска теплоты осуществляется по скорректированному температурному графику, при этом относительный расход сетевой воды на отопление определяется по формуле (4.26), где


Аналогично определяем относительные расходы теплоты Q0 и G0 на отопление при температурах наружного воздуха от +8°С до -15°С. Данные расчетов заносят в табл. 4.5.


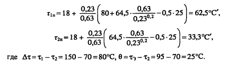
Температуру воды в подающей и обратной магистралях находим по формулам (4.25) для Н=+8°С:


Аналогично рассчитываем при +5, 0, -5, -10, -15°С. Полученные значения заносим в табл. 4.5 и строим график температур воды в подающей и обратной магистралях (см. рис. 4.5).

Теплоснабжение и вентиляция. Курсовое и дипломное проектирование. /Под ред. проф. Б. М. Хрусталева - М.: Изд-во АСВ, 2005.

на главную