Расчет выбросов оксидов азота

Количество оксидов азота, в пересчете на N02, выбрасываемых в единицу времени (т/год, г/с), рассчитывается по формуле


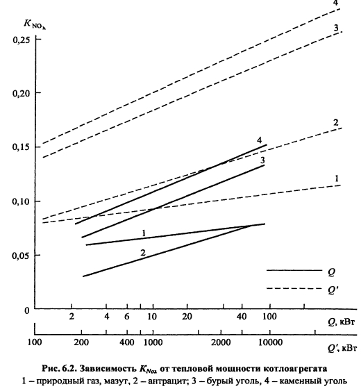
Значения определяются по графикам рис. 6.2 для различных видов топлива в зависимости от номинальной нагрузки теплогенератора. При нагрузке котла, отличающейся от номинальной, KN02 следует умножить на соответственно номинальная и фактическая мощности топливосжигающей установки, кВт.

Теплопроизводительность топливоиспользующего оборудования (кВт) определяется по формуле



ПРИМЕР 6.10. Определить количество окислов азота, удаляемых с дымовыми газами в атмосферу в течение рабочей смены (8 часов), при сжигании в камерной топке сушильной установки природного газа в количестве В- 120 м3/ч с теплотворной способностью (2н = 35700 кДж/м3. Системы по очистке выбросов от окислов азота или их снижению отсутствуют.

Решение. Определяем тепловую мощность топочного устройства 35700 120.


Из графиков рис 6 2 находим параметр KNO, = 0,07 кг/гДж С учетом заданного расчетного времени вычисляем количество выбросов в атмосферу окислов азота


Теплоснабжение и вентиляция. Курсовое и дипломное проектирование. /Под ред. проф. Б. М. Хрусталева - М.: Изд-во АСВ, 2005.

на главную