Открытые системы теплоснабжения

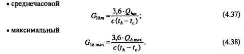
Расчетные расходы сетевой воды, г/ч, на отопление и вентиляцию определяют по формулам (4.27) и (4.28), на горячее водоснабжение - по следующим выражениям:


Суммарный расчетный расход сетевой воды, т/ч, в двухтрубных тепловых сетях при качественном регулировании отпуска теплоты по отопительной нагрузке определяется по формуле (4.33), где коэффициент К3 принимается равным:

• для систем с тепловым потоком 100 МВт 0,6; для систем с 100 МВт з = 0,8;

• для потребителей при отсутствии баков-аккумуляторов, а также с тепловым потоком 10 МВт и менее, суммарный расчетный расход воды определяют по формуле (4.34).

При центральном качественном регулировании отпуска теплоты по совмещенной нагрузке отопления и горячего водоснабжения расчетный расход воды в двухтрубных сетях определяется без учета нагрузки на горячее водоснабжение по формуле (4.35).

В не отопительный период расчетные расходы воды в подающем и обратном теплопроводах не одинаковы. Расход сетевой воды в подающем трубопроводе Gj определяют по формуле


Расход сетевой воды в обратном трубопроводе принимают в размере 10% от расчетного расхода воды в подающем трубопроводе.

Теплоснабжение и вентиляция. Курсовое и дипломное проектирование. /Под ред. проф. Б. М. Хрусталева - М.: Изд-во АСВ, 2005.

на главную