Фискальный накопитель купить дешево какой фискальный накопитель купить f-service.su.

Нормирование предельно допустимых выбросов

Для предотвращения загрязнения атмосферного воздуха сверх установленных ПДК введены нормативы на величины выброса вредных веществ [2]. Предельно допустимый выброс (ПДВ) является научно-техническим нормативом, устанавливаемым для каждого конкретного источника загрязнения атмосферы при условии, что выбросы от него и всей совокупности источников с учетом их рассеивания и превращения в атмосфере, а также перспектив развития предприятия не создадут приземных концентраций, превышающих нормативы качества воздуха.

Сокращение количества выбросов достигается совершенствованием технологического процесса производства и применением газоочистных устройств.

Нели по причинам объективного характера на предприятии не могут быть достигнуты нормы ПДВ, вводится поэтапное снижение выброса вредных веществ до значений, обеспечивающих соблюдение ПДК. При этом количество временно согласованных выбросов (ВСВ) должно устанавливаться с учетом величин выбросов, достигнутых на предприятиях с передовой технологией производства.

Величины ПДВ и ВСВ устанавливаются в тоннах в год. Контрольные их значения исчисляются в граммах в секунду и не должны быть превышены в любой двадцатиминутный интервал времени.

ПДВ и ВСВ определяются для каждого источника отдельно. В результате суммирования для различных источников устанавливаются допустимые значения для промышленных объектов и комплексов.

Величины ПДВ (ВСВ) разрабатываются на предприятиях, а затем рассматриваются и согласовываются с органами, осуществляющими контроль за качеством воздушной среды, и утверждаются в установленном порядке. Пересмотр норм ПДВ и ВСВ осуществляется не реже одного раза в пять лет.

Расчеты по установлению допустимых выбросов вредных веществ промышленными предприятиями производятся в соответствии с ГОСТ 17.2.3-02-78.

При расчетах ПДВ валовые массы вредных веществ, поступающих в атмосферу, определяют как разность между их массой, выделившейся в ходе технологического процесса, с учетом фактического времени работы оборудования, и их массой, уловленной очистными установками, с учетом эффективности последних [3].

Сведения по валовому количеству удаляемых с выбросами вредных веществ должны быть обоснованы при составлении характеристики объекта проектирования как источника загрязнения атмосферы. При этом характеристику технологического процесса необходимо прорабатывать в объеме, достаточном для определения количества выбрасываемых вредных веществ балансовым или другими теоретическими методами. Необходимо также использовать различные методики, в том числе и отраслевые, для определения валовых выбросов вредных веществ в атмосферу технологическими производствами. Подобный новейший нормативный материал целесообразно изучать по месту прохождения преддипломной практики.

Для конкретного технологического оборудования количество газовых выбросов и содержащихся в них вредностей рекомендуется устанавливать по паспортным данным, которые затем уточняются по результатам натурных исследований аналогичных действующих производств.

Для систем общеобменной вентиляции расчеты ведут исходя из количества вредных выделений в помещения производственных цехов. При этом допускается принимать концентрацию их соответствующей ПДК рабочей зоны.

В основу математических зависимостей для определения ПДВ одиночного источника выброса при условии, что Сф < ПДК положены формулы из расчета рассеивания в атмосфере вредных веществ выбросов раздела 6.6.3, из которых следует соответственно для нагретых и холодных газов


По контрольной норме ПДВ определяют максимальную допустимую концентрацию вредности в трубе


ПРИМЕР 6.14. Определить предельно допустимый выброс сернистого ангидрида по условию задачи 6.13. при действительном годовом фонде времени работы котельной т = 1960 ч/год.

Решение. При условии выброса нагретых газов расчет ведем по формуле (6.64).


Для условий данного примера следует отметить, что действительный выброс S02, равный 12 г/с или 84,7 т/год меньше, чем ПДВ. Это указывает, наряду с результатами расчетов по рассеиванию, что нормы санитарии соблюдаются без использования дополнительных природоохранных мероприятий.

Для определения нормативов ПДВ целесообразно использовать понятие «категория опасности предприятия» (КОП) для окружающей среды по формуле


При отсутствии среднесуточных значений ПДК для расчетов КОП могут использоваться значения максимальных разовых ПДК или уменьшенные в 10 раз значения ПДК воздуха рабочей зоны.

Предприятия 1-й и 2-й категории наиболее опасны для окружающей среды и для них документация по ПДВ разрабатывается по полной программе.

Для предприятий 3-й категории опасности документация по ПДВ разрабатывается по сокращенной программе.

К 4-й категории опасности относятся предприятия, имеющие незначительные выбросы в атмосферу. Для таких объектов устанавливают нормативы ПДВ на уровне фактических выбросов.

Состав документации в виде книги «Мероприятия по охране атмосферного воздуха от загрязнений» с определением ПДВ выполняются в зависимости от параметров «Я» и «Ф», рассмотренных в разделе 6.6.2.

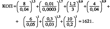
ПРИМЕР 6.15. Определить категорию опасности проектируемого промышленного объекта при следующих расчетных данных выброса в атмосферу в год загрязняющих веществ: азота диоксид -8 т; свинца и его соединений - 0,01 т; углерода оксид - 1,2 т; аммиак -4 т; сернистый ангидрид -6 т; сероуглерод - 0,3 т; ксилол - 10 т.

Решение. Расчет категории опасности промышленного объекта производим по формуле 6.67:


Теплоснабжение и вентиляция. Курсовое и дипломное проектирование. /Под ред. проф. Б. М. Хрусталева - М.: Изд-во АСВ, 2005.

на главную