Методика построения графиков регулирования для закрытых систем теплоснабжения

В целях качественного теплоснабжения разнородных потребителей центральное регулирование отпуска теплоты дополняется местным количественным Для систем с центральным регулированием по совмещенной нагрузке отопления и горячего водоснабжения, когда расчетный расход сетевой воды в тепловых сетях определяется суммой расходов воды на отопление и вентиляцию Gd= Gojaax +Gvmax без учета нагрузки горячего водоснабжения, в расчет и построение графиков регулирования входят графики температуры воды после систем отопления и вентиляции, графики расходов теплоты и воды на отопление и вентиляцию, суммарный график расхода воды, график средневзвешенной температуры воды в обратном теплопроводе

Если центральное качественное регулирование отпуска теплоты осуществляется по отопительной нагрузке, когда расчетный расход сетевой воды в тепловых сетях определяется суммой расходов воды на отопление, вентиляцию и горячее водоснабжение (форм (4 33), в расчет и построение графиков регулирования входят также графики температуры воды после водоподогревателя и расхода воды на горячее водоснабжение

Графики регулирования отопительной нагрузки. Задачей регулирования является определение температуры воды после системы отопления т2, расходов теплоты Q0 и воды G0 на отопление при различных температурах наружного воздуха

Точка излома делит весь отопительный период на два диапазона: I - от +8°С до г-, когда = const и регулирование отопительной нагрузки осуществляется обычно местными пропусками. Число часов ежесуточной работы системы отопления в этот период определяют по формуле


Расход сетевой воды через любую местную систему отопления в течение всего отопительного периода поддерживается с помощью регулятора расхода (РР) постоянным, равным расчетному. В период, когда осуществляют местное регулирование пропусками, число одновременно включенных систем отопления с повышением г- уменьшается.

Суммарный расход сетевой воды на отопление в этом диапазоне температур наружного воздуха определяют по выражению


Графики регулирования вентиляционной нагрузки. Регулирование отпуска теплоты на вентиляцию можно осуществить изменением расхода сетевой воды или нагреваемого воздуха. Если заданием не определен способ регулирования отпуска теплоты на вентиляцию, применяют способ регулирования изменением расхода сетевой воды. В этом случае задачей расчета регулирования является определение температуры воды после калориферов расхода теплоты Qv и сетевой воды на вентиляцию Gv при различных температурах наружного воздуха.

Построение графика расхода теплоты на вентиляцию см. пример 4.2 (рис. 5.2.).

На основании графиков расхода теплоты на вентиляцию и температуры воды в подающей магистрали Ti = f(tH) весь отопительный период можно разбить на два диапазона (рис. 5.2.):



Температуру воды после калориферов T2V определяют из уравнения


По рассчитанным значениям расхода сетевой воды на вентиляцию строят график Gv (см. рис. 5.2).

ПРИМЕР 5.1. Построить графики регулирования для систем отопления и вентиляции при следующих данных: С?-тах = 2000 кВт, Qv max = 200 кВт, расчетная температура наружного воздуха для проектирования отопления t0 = -25°С, температура воздуха в помещении f,= 18°С. Центральное регулирование осуществляется по отопительной нагрузке с температурным графиком Ti = 150°С, т2 = 70°С.

Решение. По формулам (4.14) и (4.15) строим отопительно-бытовой температурный график (пример 4.4). По графику находим температуру наружного воздуха, соответствующую точке излома графика t? = +2,5°С. График т2 = /(/-) показан на рис. 5.1.

Расход теплоты на отопление при fH = 8°С определяем по формуле (4.8)



Графики регулирования нагрузки горячего водоснабжения. Расчет регулирования отпуска теплоты на горячее водоснабжение в проекте выполняют, если в системе теплоснабжения осуществляется центральное регулирование по отопительной нагрузке.

Задача расчета регулирования - определение температуры сетевой воды после водоподогревателей и расход ее на горячее водоснабжение при различных температурах наружного воздуха.

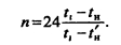
Местное регулирование тепловой нагрузки на горячее водоснабжение производят изменением расхода сетевой воды через водоподогреватель. При этом отопительный период разбивается на два диапазона. I диапазон - от tu = +8°С до когда при Xj = const и Qhm = const в системе поддерживается центральное регулирование с постоянным расходом воды через теплообменник Ghm = const. II диапазон - от С когда с повышением температуры сетевой воды в подающей магистрали осуществляется местное количественное регулирование путем уменьшения расхода сетевой воды через теплообменник. Максимальный расход сетевой воды на горячее водоснабжение наблюдается в I диапазоне температур наружного воздуха при минимальной температуре воды в подающей магистрали. Если у потребителей отсутствуют аккумуляторы горячей воды, расчетный расход сетевой воды на горячее водоснабжение определяется по максимальной тепловой нагрузке.

Расчет и построение графиков регулирования отпуска теплоты на горячее водоснабжение при параллельной и двухступенчатой смешанной схемах следует выполнять, используя методику, изложенную в [2, с. 109-113].

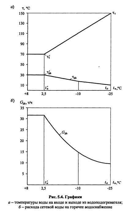
ПРИМЕР 5.2. Построить графики расхода сетевой воды на горячее водоснабжение и температуры воды на выходе из водоподогревателя системы горячего водоснабжения, присоединенного по параллельной схеме. Температуру сетевой воды в подающей и обратной магистралях тепловой сети принять из примера 4.4. Расчетная тепловая нагрузка на горячее водоснабжение 1500 кВт, температура горячей воды 60°С, холодной 5°С.

Решение. Согласно [1, прилож. 1] температура сетевой воды после параллельно включенного водоподогревателя горячего водоснабжения в точке излома графика температур воды принимается х = 30°С. По графику (рис. 4.3) находим f- = 2,5°С, Xi = 70°С.

Расчетный расход сетевой воды на горячее водоснабжение определяем по формуле (4.30)


С понижением температуры наружного воздуха повышается температура сетевой воды хь поступающей в водоподогреватель горячего водоснабжения. Поскольку расход теплоты на горячее водоснабжение за отопительный период принимается постоянным, с увеличением Т} расход сетевой воды на теплообменник должен уменьшаться.

Определим температуру воды на выходе из водоподогревателя при f- = -10°С и tH = ta = -25°С.



Графики суммарного расхода сетевой воды. Они строятся сложением соответствующих ординат графиков расходов воды по отдельным видам теплопотребления при tH = +8°С, f-, t0.

При центральном качественном регулировании отпуска теплоты по отопительной нагрузке складываются ординаты расходов воды на отопление, вентиляцию и горячее водоснабжение (рис. 5.5); при регулировании по совмещенной нагрузке отопления и горячего водоснабжения - ординаты расходов воды на отопление и вентиляцию (рис. 5.6).

График средневзвешенной температуры воды в обратной магистрали. Определив расходы сетевой воды и температуры обратной воды после теплопотребляющих установок, находят средневзвешенную температуру сетевой воды в обратной магистрали при температурах наружного воздуха t- = +8°С, t, t0 по формуле


График средневзвешенной температуры сетевой воды в обратной магистрали при регулировании по отопительной нагрузке показан на рис. 5.7 а.



При центральном регулировании по совмещенной нагрузке отопления и горячего водоснабжения расход сетевой воды на горячее водоснабжение Ghm принимается равным нулю. При этом температура сетевой воды в обратной магистрали после систем отопления и горячего водоснабжения берется по повышенному температурному графику. График тгт для данного регулирования показан на рис. 5.75.


Теплоснабжение и вентиляция. Курсовое и дипломное проектирование. /Под ред. проф. Б. М. Хрусталева - М.: Изд-во АСВ, 2005.

на главную