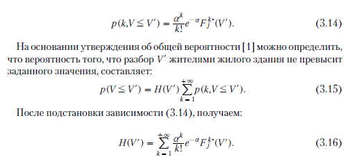
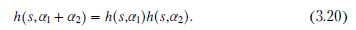
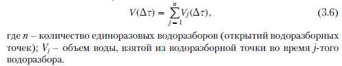
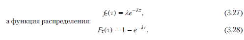
Неравномерность суммарного отбора в произвольный период времени никлаЦелью данных исследований является определение общего потребления горячей воды пользователями данной системы в любой период времени анализируемого цикла. Общий отбор из системы V - это сумма всех единоразовых водоразборов Vj в течение анализируемого периода времени Дт: ![]() Можно принять, что единоразовые разборы горячей воды Ц являются независимыми друг от друга параметрами. С каждым открытием водоразборной арматуры связано потребление определенного количества горячей воды. Количество единоразово израсходованной воды при открытии водоразборного крана является величиной, зависимой от актуальной потребности пользователя системы. Количество зависит от многих факторов и является величиной, изменяющейся случайно. Характерной чертой расхода горячей воды при единоразовом водоразборе является то, что его можно определить только с помощью множества положительных чисел. Считается, что функция распределения единичных разборов описывается с помощью функции распределения Fj(V), а плотность с помощью fi(V), где V> 0. Для дальнейшего анализа предполагается, что для данного отрезка времени во всех объектах нестабильность единоразового водоразбора горячей воды описывается тем же самым распределением. Переменная V, описывающая общее потребление жителями в анализируемый период времени, является суммой случайных переменных, описывающих отдельные водоразборы. Зная распределение этих переменных, можно определить распределение суммы путем расчета интеграла свертки (композиции) единичных распределений: ![]() Считается, что количество водоразборов (открытий кранов) и объем единоразово израсходованной горячей воды являются взаимонезависимыми параметрами, в связи с чем вероятность того, что общий разбор не превысит определенного значения V, при реализации к открытий водоразборной арматуры, составляет [1]: ![]() Подставляя в вышеуказанный образец зависимости (3.5) и (3.11), получаем: ![]() Распределение, функция которого описана с помощью вышеуказанного образца, называют сложным распределением Пуассона. При принятом подходе это распределение описывает в общем виде (для произвольного распределения единоразового водоразбора) распределение вероятности потребления горячей воды в произвольный период времени произвольной группой потребителей. В дальнейших рассуждениях представлен вид статистического распределения, описывающего распределение значения расхода горячей воды при единоразовом отборе. Если каждому открытию водоразборной арматуры будет приписано конкретное значение потребляемой горячей воды Ц, то функция распределения F(V) концентрируется в одной точке. Процесс отбора сокращается до простого процесса Пуассона [5], а зависимость (3.16) сводится к выражению: ![]() Эта функция обладает особым свойством, в частности: ![]() Следовательно, сумма переменных, описанных с помощью сложного распределения Пуассона, в котором распределение вероятности f(s) случайных переменных, создающих расход Пуассона, является таким же - это переменная, описанная также с помощью распределения Пуассона с параметром а, равным сумме параметров а, добавляемых переменных: ![]() Распределение переменных, сумма которых дает точно такое же распределение, называют «регенеративным» распределением. Среди распределений, изменяющихся скачкообразно, только распределения Пуассона (простой и сложный) обладают таким свойством. Это свойство возникает из самого процесса Пуассона. Распределение Пуассона принадлежит к классу бесконечно делимых распределений. Это означает, что для произвольного к можно его представить как к-кратную композицию (свертку) определенного распределения вероятности. Иначе говоря, случайную переменную в этом распределении можно представить как сумму к определенных одинаковых случайных переменных с таким же распределением, где к может быть произвольным. Это означает, если: ![]() Оговоренное свойство сложного распределения Пуассона можно использовать для моделирования распределения отбора горячей воды произвольной группой пользователей. Если предположить, что распределение единичного отбора у каждого потребителя одинаковое, то параметр a-распределения, описывающий среднее количество водоотборов группой потребителей, описывается суммой параметров ор (средних кратностей отборов) отдельных потребителей (3.21). В то же время, зная значение параметра ор для группы одинаковых потребителей, можно, используя это свойство, определить параметр ап отдельного потребителя (3.25). Количество потребленной воды за один раз может быть только положительной величиной. Распределением для положительных случайных переменных может быть: гамма-распределение, логнормальное распределение, бета-распределение, распределение Гумбеля. Анализ показал, что из вышеперечисленных распределений гамма-распределение наилучшим образом описывает неравномерность длительности отдельных водоотборов горячей воды. Ход гамма-распределения изменяется в широком диапазоне в зависимости от параметров распределения. Плотность распределения гамма описывается зависимостью: ![]() Параметр X этого распределения можно интерпретировать как параметр масштаба, а параметр п - как параметр формы. После проведения идентификации параметров [30] было определено, что можно принять параметр п этого распределения равным 1 (п = 1). Для этого значения получаем особый случай гамма-распределения - экспоненциальное распределение. Плотность этого распределения описана с помощью зависимости: ![]() Экспоненциальное распределение часто используют в теории надежности и в теории массового обслуживания [1; 25]. С его помощью описывают распределение часов безаварийной работы устройств [2], время эксплуатации устройства, время обслуживания [8; 12; 20]. Как доказано в работе [30], с его помощью можно также определить значение единоразового отбора горячей воды в здании. Без сомнения, это распределение является определенным приближением реальности. Например, время отбора воды не может быть меньше, чем определенная минимальная величина (например, время ополаскивания рук), а распределение начинается со значения, равного нулю. Экспоненциальное распределение описывает также распределение промежутков времени между событиями в процессе Пуассона. Для постороннего наблюдателя момент начала и окончания отбора воды являются независимыми переменными. Параметр X интерпретируют как обратный коэффициент среднего времени между событиями. В этом случае - как обратный коэффициент среднего времени одного отбора горячей воды. После подстановки в равенство (3.16) зависимости (3.28) получаем ![]() Этот пример описывает вероятность того, что водоразборный кран не будет открыт, а значит и вероятность того, что вода не будет вытекать. Если количество отборов в анализируемый период времени является постоянным и равно к, то полученное распределение преобразуется в гамма-распределение с параметрами к и X. Распределение гамма применяют для описания изменения отбора воды [30]. Для представленного сложного распределения Пуассона, подобно, как для гамма-распределения, один из параметров отвечает за форму распределения, другой является параметром масштаба. Форма распределения Пуассона зависит от параметра а, в то же время параметр X является параметром масштаба. Шафлик В./Современные системы горячего водоснабжения. - К.: ДП ИПЦ «Taici справи», 2010. |
|