РАЗРАБОТКА И ВНЕДРЕНИЕ ТОЛЩИНОМЕРОВ МЕТАЛЛИЧЕСКИХ ПОКРЫТИЙ НА СТАЛЬНОЙ ПОЛОСЕ

Изложены принцип действия и основные характеристики нового поколения радиоизотопных рентгенофлуоресцентных толщиномеров оловянных, цинковых и алюмоцинковых покрытий на стали в процессе их нанесения. Приведены алгоритмы вычисления поверхностной плотности различных видов покрытий. Толщиномеры выполнены на единой конструктивной основе и переход от одного вида покрытия к другому заключается в смене фильтров поглотителей излучения и пере наполнении газом детекторов излучения.

АО "Черметавтоматика" совместно с СП "Прометей" разработали и внедрили на ряде металлургических комбинатов России и Казахстана новое поколение измерителей толщины основных металлических покрытий в технологическом процессе нанесения их на стальную полосу электролитическим и горячим методами. Толщиномеры созданы на единой конструктивной основе и могут быть использованы для измерения как одноэлементных (Zn, Sn, Al), так и двухэлементных (AlZn) покрытий.

Принцип действия разработанных рентгенофлуоресцентных толщиномеров основан на регистрации вторичного излучения возбужденного излучением радиоизотопного источника Ри238. Суммарный поток, регистрируемый детекторами толщиномера, складывается из потока от возбужденной подложки (линия Fe с энергией Еу = 6,4кэВ), из потока от возбужденного покрытия (например, линия Zn с Е7 = 8,6 кэВ) и из потока обратно рассеянного излучения от источника (линии XL Pu238 со средней энергией Еу = 16кэВ).

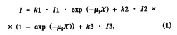
Для одноэлементных покрытий масса X, приходящаяся на единицу площади, определяется из выражения:

где I — регистрируемый поток излучения; II — поток от линии Fe при X = 0; 12 — поток от покрытия при X = со; 13 — поток обратно рассеянного излучения от Pu238; jLij и \&2 ~ коэффициенты поглощений линий Fe в покрытии и элемента покрытия в покрытии; kl, k2, кЪ — эффективности регистрации прибором соответствующих аналитических линий.

Так как коэффициенты поглощения линий Pu238 в покрытии в несколько раз меньше и /12, то зависимость потока обратно рассеянного излучения от толщины покрытия слабая и можно считать третье слагаемое в выражении (1) постоянным.

Электролитическое оловянное покрытие имеет толщину, не превышающую 2 мкм, поэтому при его измерении вторым слагаемым в (1) можно пренебречь. При регистрации потока от горячего цинкового покрытия наоборот второе слагаемое является определяющим. Вклад первого слагаемого существенен лишь в начале диапазона измерения при малых толщинах покрытия. Здесь он приводит к уменьшению чувствительности толщиномера. Чтобы ее поднять, используются физические фильтры из А1, которые помещаются перед входными окнами детекторов. Эти фильтры эффективно поглощают линию Fe.

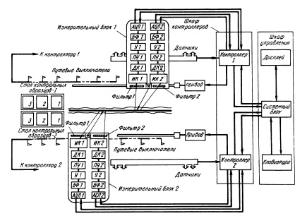
В состав каждого толщиномера входят три измерительных блока (по одному на каждую сторону полосы и один — резервный), шкаф с контроллерами (ШК) типа КСИ—16 и пульт управления (ПУ) с ЭВМ типа IBM PC.

Схема толщиномера представлена на рисунке. Каждый измерительный блок (БИ) содержит два независимых детектора рентгеновского излучения — ионизационные камеры (ИК), наполненные благородными газами или их смесями. Электрический сигнал с ИК модулируется динамическим конденсатором (ДК), усиливается предусилителем (ПУ) с большим входным сопротивлением, затем усилителем (У) и после синхронного детектирования и фильтрования фильтром Бесселя (БФ) поступает на вход аналогоцифрового преобразователя (АЦП) двойного интегрирования и далее в контроллер. Контроллер управляет работой АЦП, приводом перемещения измерительного блока поперек полосы, опрашивает и анализирует состояние датчиков (скорости полосы, положения измерительного блока, начала и конца рулона и т.п.), пересылает информацию для дальнейшей обработки в ЭВМ пульта управления. Как видно из рисунка, в каждом измерительном блоке имеется два независимых канала регистрации излучения. В одноэлементных толщиномерах сигналы от обоих каналов усредняются в контроллере, уменьшая случайную погрешность измерения. Следует отметить, что в толщиномерах используется прямая схема измерения, обеспечивающая минимальную величину погрешности [1]. Она требует высокой стабильности параметров измерительного тракта, поэтому периодически (1—2 раза в сутки) осуществляется автоматическая коррекция его показаний.

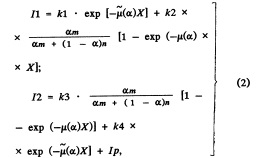
При измерениях толщины покрытий сложного ! состава, в частности двухэлементного AlZnпокрытия, необходимо дополнительно определять в реальном масштабе времени процентное содержание входящих в него компонентов. Вычислительный алгоритм в этом случае состоит в решении системы нелинейных уравнений относительно текущего значения толщины X и aдоли Zn в покрытии:

где II и 12 — полосы, регистрируемые в первом и втором каналах соответственно; 1р — поток во втором канале от обратно рассеянного излучения Pu238; ji(a) и fi(a) — коэффициенты поглощения линий Fe и Zn соответственно в AlZn покрытии; ?1, к2, /гЗ, к4 эффективности регистрации аналитических линий в соответствующих каналах (вместе с 1р определяются при калибровке толщиномера по трем образцам); т, п — известные из [2] числовые величиныконстанты.

Метрологические характеристики такого толщиномера прямо пропорциональны избирательности каналов регистрации излучения от подложки и от покрытия. Повышение избирательности каналов достигается использовани ем физических фильтров (из А1 для выделения линии Zn, из Ni или Мп для выделения линии Fe) и выбором газа или смеси газов для наполнения детекторов. Смесь подбирается такой, чтобы пробеги квантов излучения источника и покрытия существенно превосходили пробег квантов излучения подложки.

Программное обеспечение толщиномеров разработано на языках высокого уровня ТурбоПаскаль и КСИ—Бейсик и позволяет осуществлять четыре режима измерения: непрерывное сканирование БИ поперек полосы, трехточечный (непрерывное сканирование с остановкой в трех фиксированных точках на заданное время), ручное управление (установка БИ с пульта управления в любое место над полосой) и коррекция (перемещение БИ с полосы и движение над столом контрольных образцов с автоматической остановкой над каждым из трех образцов, затем автоматическое возвращение на полосу). Результаты измерения отображаются на экране цветного дисплея в цифровом и графическом виде. Это текущие значения: поверхностной плотности, процентного содержания и отклонения от заданных значений по каждой стороне полосы. Кроме того, по команде с пульта управления может быть выдана накопленная и проанализированная информация о поперечном и продольном профилях покрытия за любое время от Змин до 240 ч или порулонно, если в контроллер толщиномера введены сигналы датчика начала и конца рулона. В программное обеспечение входят многочисленные сервисные подпрограммы: конфигурирования толщиномера, автоматической диагностики неисправности его основных узлов, определения расхода материала покрытия и т.п.

Разработанные толщиномеры обладают следующими основными техническими характеристиками:

Измерительная информация может выдаваться в АСУ агрегата по RS422 по согласованному с потребителем протоколу. Все толщиномеры укомплектованы специально разработанными стандартными образцами покрытий, аттестованными Госстандартом.

Конструктивная унификация и достигнутый запас по погрешности разработанных толщиномеров металлических покрытий на стальной полосе позволили использовать измерительные блоки и алгоритмы вычислений как в толщиномерах выборочного контроля для образцового средства поверки толщиномеров, так и для аттестации произведенной металлопродукции.

СБОРНИК НАУЧНЫХ ТРУДОВ Черная металлургия России и стран СНГ в XXI веке. Т о м I, Москва 1994

на главную