НОВЫЕ РАЗРАБОТКИ ПРИБОРОВ И АВТОМАТИКИ ДЛЯ ЧЕРНОЙ МЕТАЛЛУРГИИ

Приведены технические характеристики современных эффективных приборов и средств автоматизации, разработанных партнерами СП ЭЛСИД — фирмами *Ансалъдо Индустрий, "Эль г Бэйли” и "ЧедсГ (группы Даниэли).

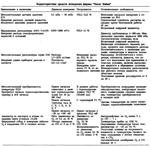
В каталогах "Элзаг Бэйли" — около ста наименований непрерывно совершенствуемых КИПиА, включая клапаны и исполнительные механизмы, преобразователи температуры и давления, расходомеры, анализаторы газообразных и жидких сред (таблица).

Для отображения измеренных технических параметров используют самописцы и показывающие приборы. Самописец MR1 — один из самых быстродействующих многоточечных на современном рынке: сканирует и печатает до 30 каналов в секунду. Каждый канал конфигурируется на ввод определенного типа и диапазона измерений. Имеется 60 сигналов тревожных состояний, которые могут быть легко заданы и вырабатывается как по скорости изменения параметра, так и по абсолютному значению и отклонению. На встроенную 80 символьную видеопанель выводятся данные о 4 каналах одновременно с указанием величин и единиц измерения.

Самописцы RE3/RE5 регистрируют до трех полностью изолированных параметров, каждый с пером своего цвета. По сравнению с недорогим самописцем RE3 самописец RE5 обеспечивает реализацию дополнительных функций: прием сигналов термопар и термосопротивлений; программируемое изменение пределов измерений, аварийной защиты и скорости подачи ленты, программируемую линеаризацию, пользовательские вычисления и т.п. Самописец RE5 имеет 40символьный цифровой дисплей, обеспечивающий представление измеренных, вычисляемых и суммарных величин.

Самописец WC на базе микропроцессора осуществляет запись до 4 параметров на круглую диаграмму диаметром 250 мм. Принимает сигналы тока, напряжения и пневматические. С помощью встроенных дисплея и клавиатуры пользователь может запрограммировать входной диапазон, скорость записи и вращения диаграммы, вид и величину аварийных сигналов. Скорость вращения диаграммы от 1 до 4096 ч/об.

Регулирующие клапаны разного типа поставляются фирмой "Элзаг Бэйли" на усилия до 8000 кг и диаметры трубопроводов от 12 до 600 мм.

Электрические исполнительные механизмы типа UE в зависимости от модификации развивают вращающий момент от 100 до 7560 Н * м, время поворота на 90° составляет 7—30 с, мощность двигателя 0,15—2,2 кВт. Электро пневматические исполнительные механизмы типа UP развивают момент от 122 до 6372 Н • м, давление питающего воздуха от 276 до 690 кПа. Для исполнительных механизмов предусмотрен безударный переход от автоматического к ручному управлению (и наоборот), приоритет ручного управления над автоматическим.

Для управления исполнительными механизмами и клапанами поставляют пневматические и электропневматические позиционеры.

Индикатор пламени и условий горения предназначен для котлов и печей, работающих на жидком, пылеугольном или газообразном топливе. В зависимости от вида топлива используются ультрафиолетовые или яркостные датчики. Среднее время безотказной работы датчика 30 лет.

Цифровой регулятор "Digital conserver" предназначен для экономии топлива в котельных установках.

Устройство включает анализатор на СО и 2, микропроцессорный контроллер на базе модулей системы INFI90, а также детекторы пламени. На основе измерения концентрации СО и 02 устройство управляет расходом топлива и воздуха с целью оптимизации процесса горения, что обеспечивает экономию топлива в размере 2—10%.

Разработан ряд специальных средств измерения для прокатных станов и МНЛЗ. В частности, широкое применение находят измерители фирмы "Чеда" для контроля уровня металла в кристаллизаторах, погрешность измерения ±2 мм. Для конкретных случаев применения рекомендуются электромагнитные, фотоэлектрические или лазерные измерители. Поддержание постоянного уровня стали в кристаллизаторе осуществляется с помощью электромеханического или электрогидравлического регулятора положения стоппера в промковше.

Фирма "Ансальдо Индустрия" поставляет современное электротехническое оборудование, в том числе тиристорные преобразователи; двигатели и генераторы постоянного тока до 4000 кВт; асинхронные и синхронные двигатели 150—1500 кВт; асинхронные и синхронные генераторы 500-35000 кВт.

СБОРНИК НАУЧНЫХ ТРУДОВ Черная металлургия России и стран СНГ в XXI веке. Т о м I, Москва 1994

на главную