МЕТАЛЛУРГИЧЕСКИЕ ОСОБЕННОСТИ ПРОИЗВОДСТВА КОНСТРУКЦИОННОЙ СТАЛИ ВЫСОКОЙ чистоты

Постоянно растущие требования потребителя в отношении чистоты стали наряду с необходимостью снизить количество нежелательных элементов в ней привело к постоянному совершенствованию металлургических процессов в сталеплавильных цехах. Благодаря соответствующей технологии, применяемой в кислородноконвертерных (LD) сталеплавильных цехах, и конструктивной металлургической практике было налажено производство марок сталей с суммарным содержанием элементов (Р, S, N, Н, О) ниже 100 ppm. Стало возможным свести содержание серы в стали к 0,0005 % (по массе) за счет использования дешевых обессеривающих реагентов и конструктивной практики, применяемой во вторичной металлургии. Вторичная металлургическая обработка стали влияет на тип, форму и химический состав неметаллических включений. В ходе металлографических исследований было обнаружено влияние химического состава на процесс образования неметаллических включений после горячей деформации. Результаты испытаний показали ухудшение показателей относительного уменьшения площади поперечного сечения как следствие возрастания содержания серы и ее влияния на вязкость стали.

Введение

На протяжении последних двух десятилетий требования к сталям широкого сортамента, начиная от низкоуглеродистой стали для глубокой вытяжки и кончая высокопрочной свариваемой конструкционной сталью, частично претерпели существенные изменения (рис. 1)

В результате повысилась прочность у большинства марок стали, было отмечено существенное улучшение деформируемости и свариваемости сталей. Значительно улучшились специфические рабочие характеристики, как, например, стойкость по отношению к высокосернистому газу. Большинство этих положительных явлений стало возможным благодаря заметному снижению содержания таких примесных элементов, как сера, фосфор, азот, кислород и водород.

Процесс выплавки

В целях удовлетворения специфических требований, касающихся вязкости, производство высокопрочных марок сталей включает следующие операции [3, 4]: выплавку в кислородном конвертере с донным перемешиванием; раскисление и легирование при выпуске металла из конвертера; глубокую десульфурацию с целью получения содержания серы <0,0020 % (по массе) путем вдувания в сталь твердых реагентов на установке ковшпечь; уменьшение содержания азота и водорода на установке RH; прецизионное легирование на установке RH.

Конвертер

Конвертер служит в основном для рафинирования жидкого чугуна. Основная металлургическая функция конвертера в отношении таких сталей заключается в точной регулировке содержания фосфора в пределах от 0,0040— 0,0080% (по массе) в конце продувки в зависимости от требований потребителя. Необходимое содержание фосфора легко получить, используя хорошо уваренный шлак во время рафинирования [5—8].

Выпуск плавок проводится после ~4 мин рафинирования и перемешивания в конвертере. Во время выпуска жидкая сталь раскисляется благодаря применению специальной технологии (предварительное раскисление углеродом, основное раскисление алюминием), затем следуют добавки ферросплавов с низким содержанием фосфора. В конце выпуска необходимо свести к минимуму увлечение металлом в ковш конвертерного шлака. Для этих целей применяют шлаковый стопор, разработанный фирмой VOEST—ALPINE Stahl Linz GmbH.

На рис. 2 показано соотношение между количеством конвертерного шлака, попавшего в ковш, при использовании отрегулированного шлакового порога тревоги" и временем отсечки шлака (промежуток времени от момента подачи измерительного сигнала до закрытия отверстия с помощью стопора). Например, количество шлака, увлеченного в ковш, составит ~1,3 кг на 1 т стали, если время отсечки шлака будет равно 0,8 с, а шлаковый порог "тревоги"— 15%.

В исключительных случаях количество шлака, попавшего в ковш, может быть уменьшено до менее 1 кг на 1т стали благодаря специальным мерам, позволяющим снижать количество шлака, поступающего к выпускному отверстою, таким как введение выпускного отверстия деревянного конуса или глыбы шлака, содержание в исправности выпускного отверстия.

Ковшпечь

Необходимая последовательность операций для глубокой десульфурации стали достигается благодаря соответствующему раскислению плавки и присадке определенного количества обессеривающих добавок наряду со шлаком в сталеразливочном ковше, необходимых для поглощения и связывания продуктов реакции. Основными переменными величинами являются количество и химический состав шлака в сталеразливочном ковше. Ранее проведенные исследования [3, 4] показали, что для обеспечения оптимального поглощения серы химический состав должен быть следующим, % (по массе): (СаО) ~60;

содержание серы. Содержание серы можно понизить, например, со 100 ppm до <30 ppm, добавив ~1600 кг шлакообразующих материалов и до основности (СаО) (А1203 + Si02) шлака в сталеразливочном ковше — равной ~2 при Z(FeO + MnO) <1% (по массе). Если эти предварительные условия не выполнены, т.е. в случае с неадекватными количеством шлака в сталеразливочном ковше и его основностью и(или) избыточным содержанием (FeO + МпО), содержание серы удастся лишь слегка уменьшить, например, с 100 ppm до ^70 ppm.

Установка RH

Содержание азота в плавке увеличивается со 100 до 130 ppm в зависимости от количества вводимых обессеривающих добавок. Содержание водорода, который образуется при загрузке влажных шлакообразующих добавок, колеблется в пределах 57 ppm после проведенной глубокой десульфурации плавки. Содержание как азота, так и водорода снижают путем обработки на установке RH [4; 12; 13].

Содержание Р, S, N, Н и О после отдельных промежуточных стадий процесса

На рис. 4 показано изменение содержаний Р, S, N, Н и О в процессе десульфурации и вапо отношению к высокосернистому газу. Содержание серы снижается с 42 до 8 ppm путем ввода CaSi и до 5 ppm после вакуумной обработки, затем остается постоянным до окончания отбора проб.

Содержание фосфора увеличивается с 40 ppm в период до проведения десульфурации до 48 ppm после вакуумной обработки благодаря рефосфорации из шлака, попавшего в ковш, и добавкам легирующих материалов. Содержание азота растет с 66 до 122 ppm в процессе десульфурации, затем снижается до 32 ppm во время вакуумной обработки, и в результате повышается до 40 ppm во время непрерывной разливки. Содержание водорода снижается с 7 до lppm во время вакуумной обработки и возрастает до 1,8 ppm во время непрерывной разливки [4].

Общее содержание кислорода уменьшается с 30 до 20 ppm и с 20 до 15 ppm во время перемешивания в установке ковш— печь. Содержание кислорода в готовом металле составляет 9 ppm.

Суммируя приведенные результаты, достигаемые в процессе выплавки, можно сделать выводы о том, что благодаря применению соответствующей технологии в кислородноконвертерном цехе и хорошо отработанной металлургической практике можно производить высокопрочные стали с суммарным содержанием элементов Р, S, N, Н, О <100 ppm (рис. 5).

Исследование неметаллических включений

Глубокая десульфурация, сопровождаемая вводом различных добавок, приводит к формированию неметаллических включений (NMI) с варьируемыми морфологическими свойствами [11] . В целях идентификации исследования микроструктуры проводили на образцах слябов, производимых в промышленном масштабе. Соответственно, слябы, отобранные для сравнения, прокатывали на опытном прокатном стане; в процессе исследований микроструктуры были выявлены все изменения в NMI.

В процессе горячей деформации сульфиды, имевшие угловатую форму или выделившиеся по границам зерен, вытягивались в длинные и узкие сульфидные линии, а глобулярные оксиды были частично разрушены или оставались сферическими (рис. 6). В целях чистоты эксперимента NMI разделили на глобулярные (типы от OSI до OSIV и GAI) и строчечные (типы SS и О All) включения оксисульфидов в прокатанных образцах.

Отмечено, что для этих типов включений характерна небольшая деформация, как, например, в 1/4 толщины сляба L* = 4,0 мкм и в 1/4 толщины прокатанного образца . L* ® 4,5 мкм. Такое соотношение наблюдается и в зоне сегрегации, где Цк = 5,0 мкм в слябе и = 5,2 мкм в прокатанных образ цах. Частотное распределение (рис. 7) показывает, что оксидные включения >10 мкм выделяются, как правило, в жидкой стали.

Длина оксидов и оксисульфидов не зависит от содержания серы и кислорода. Существует явная взаимосвязь между количеством оксидов 28 и оксисульфидов и общим содержанием кислорода в стали [12]. При 0,0050 [О] % (по массе), например, количество включений составит 190 шт/см2, а при 0,0015 [0\% (по массе)— только 70шт/см2 (рис. 8)

Оптическое исследование образцов от листа доказало, что образование неметаллических включений различных типов, форм и химических структур зависит от вводимых добавок. Образцы, не подвергшиеся обработке путем инжекции порошков, содержат преимущественно длинные марганцевые сульфиды, а также эллиптические сульфиды, у которых отсутствуют оксидное ядро или рассеянные сульфиды [3, И, 13].

Оксисульфидные включения в плавках, прошедших обработку с помощью CaSi, CaO/CaF2 и СаС2, остаются глобулярными во время горячей прокатки. Включения, образовавшиеся во время десульфурации с помощью волластонита, представляют главным образом эллиптические оксисульфиды, но часть их остается глобулярной.

Наиболее характерные включения, входящие в состав каждой вводимой добавки, были исследованы с помощью микрозонда с целью определения структуры NMI.

Включения, образовавшиеся в процессе обработки CaSi или СаС2, имеют ядро типа хСаО • j>A1203 С низким содержанием MgO и Si02. Оксидные ядра, заключенные в оболочку из CaS, остаются в значительной степени глобулярными во время горячей деформации, а иногда приобретают слегка эллиптическую форму. Небольшие как сульфидные, так и оксидные доли могут отделяться от первоначального включения, особенно в тех случаях, когда оно образовалось в процессе обработки СаС2.

Когда в качестве вводимой добавки используют волластонит или CaO/CaF2, то образуются ядра JcCaO * ^А1203 • zMgO, заключенные в оболочку из сульфидов с различным химическим составом. Однако доля СаО в оксидном ядре значительно снижена, поскольку волластонит играет роль обессеривающей добавки. В этом случае оболочка состоит из марганцевого сульфида в противоположность кальциевому сульфиду, обнаруженному после обработки с помощью CaO/CaF2. В данных условиях формирования сульфидная оболочка, которая образуется на оксидных ядрах в процессе гетерогенного зарождения центров кристаллизации, обладает большей деформируемостью, если она состоит из MnS, чем из CaS. Однако необходимо принять во внимание соотношение диаметров оболочки и ядра.

Исследование соотношения кальций/сера в стали

Другим производственным критерием является соотношение Ca/S, которое отмечено всеми производителями или конечными потребителями трубных сталей, особенно в случае использования высокосернистого газа [3, 15].

На рис. 11 просуммированы основные моменты и граничные условия, влияющие на соотношение Ca/S в стали, которые были выявлены в ходе исследований. Соотношение Ca/S определяется долями кальция, химически связанными с оксидами и сульфидами, а также содержанием серы. Доля кальция с оксидной фиксацией, а именно Са(О), определяется количеством включений типа алюмината кальция; при этом преобладающая часть исследованных включений былд обнаружена в интервале между СЪА (=ЗСаО*А12Оз) и СА (=СаО • А12Оэ), основное внимание было уделено типу С12А7 (=12СаО • 7А1203)

Доля кальция с сульфидной фиксацией, а именно Ca(S), определяется путем замены Мп на Са, в качестве сульфидообразующего реагента.

Большинство исследованных включений продемонстрировало почти полную замену Мп на Са. Это относится и к случаю, когда содержание серы в стали составило 0,0050 % (по массе), т.е. обнаружено, что сульфид имеет стехиометрическое соотношение, соответствующее соединению CaS (Ca/S = l,25).

Что касается определенного в результате этого содержания кальция, то были выведены соотношения, зависящие от принятого типа оксида (Са, C12A7t С3А) и учитывающие среднюю величину соотношения Ca/S, равную 1,25 и свойственную сульфидным оболочкам: для СА


Если планируется производить сталь с максимальным содержанием серы 0,0010% (по массе) (стали, стойкие к высокосернистому газу), то общее содержание кальция должно составить как минимум 0,0022 % (по массе) при условии, что общее содержание кислорода будет равно 0,0015 % (по массе) на базе уравнения (1), т.е. соотношение Ca/S = 2,2.

На рис. 12 представлена диаграмма, на основе которой можно определить как доли кальция, отвечающие заданным требованиям, так и достижимые соотношения Ca/S. Важный момент заключается в том, что существующие включения дают сравнительно узкую зону рассеяния серы и кислорода, которые по содержанию эквивалентны друг другу. Этот вывод явился результатом исследований, проведенных на готовом прокате. Это значит также, что изза наличия упомянутых включений нереально раздельно рассматривать и регулировать содержание серы и кислорода. Представленный здесь пример наглядно показывает все существующие соотношения при условии, что S =0,0015% (по массе). max

Соотношение между S и О, являющееся результатом существования указанных включений и изображенное на диаграмме как зона рассеяния при условии, что выделяемые оксиды соответствуют соединению 12СаО • 7А1203(С12Л7), приведет к Ca(S) = 0,0010 % (по массе), Са(О) = 0,0015 % (по массе) при заданном Саобш = 0,0034 % (по массе). Соотношение Ca/S = 2,27. На основе этой диаграммы можно сделать заключение, что несмотря на показанное слияние оксидов и сульфидов нельзя добиться, чтобы Ca/S»2, если содержание серы и кислорода выше чем 0,0020 % (по массе). В случае, когда заданное соотношение Ca/S» 2, необходимо применять специальную технологию, обеспечивающую минимальное количество включений в стали.?

Влияние серы на свойства стали

Известно, что вязкостные свойства стали (т.е. относительное вертикальное уменьшение площади поперечного сечения, энергия удара при испытаниях образца с надрезом) в значительной степени зависят от содержания серы [11]. Поэтому была сделана попытка определить соотношения между свойствами металла и содержанием серы при испытаниях на растяжение и на удар в двух состояниях поставки: после контролируемой прокатки и после нормализации. Такие исследования были проведены на образцах от слябов, производимых в промышленном масштабе и прокатанных на опытном прокатном стане.

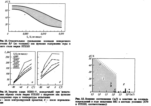
Образцы для испытаний на растяжение, проведенных с целью определения относительного уменьшения площади поперечного сечения, отбирали из прокатанных полос, перпендикулярных поверхности. Вне зависимости от вида использованного десульфуратора и состояния поставки металла величина сужения площади поперечного сечения уменьшается в вертикальном направлении по мере того, как содержание серы возрастает (рис. 13).

Образцы размером 10x10x55 мм для испытания CVN на удар отбирались на расстоянии, равном 1мм от поверхности в поперечном направлении. Была предпринята попытка локализовать верхнюю позицию, наклон и нижнюю позицию. Результаты испытаний на удар, проведенных строго по DIN 50115, приведены на рис. 14.

Энергия удара при испытаниях образца с надрезом в момент перехода к высшей степени прочности во многом зависит от содержания серы, т.е. энергия удара при испытаниях образца с надрезом увеличивается по мере уменьшения содержания серы. При низких температурах испытания (например, —80 °С) влияние содержания серы уменьшается (нормализованный металл) и полностью исчезает при минимальном значении энергии удара (после контролируемой прокатки). Разброс результатов на нормализованных образцах совершенно отчетливо захватывает области более высоких значений энергии удара при испытаниях образца с надрезом благодаря более однородной мелкозернистой структуре, при этом влияние серы ясно прослеживается.

Результаты, полученные в ходе исследования листа, производимого в промышленном масштабе (толщиной ~30 мм) из нормализованной стали марки StE 355, прекрасно подкрепляют данные испытаний лабораторных образцов.

На рис. 15 представлены результаты испытаний методом ШС, проведенных по NACE ТМ—02—84 (в условиях герметичности) с образцами листа из стали марки Х70 (с обычным химическим составом) или StE 355 (модифицированной) с различными соотношениями Ca/S. Единицей измерения устойчивости по отношению к ШС является доля площади образцов, поврежденной дефектами, определяемая ультразвуковым сканированием. Диаграмма показывает влияние как соотношения Ca/S, так и модификации химического состава стали (пониженное содержание С и Мп в стали StE 355) на долю поврежденной поверхности.

Фирма VA Stahl Linz GmbH производит различные марки стали высокой чистоты в поточной линии, включающей конвертер с донным перемешиванием, ковшпечь, установки RH и УНРС. С помощью установок вторичной металлургии производится сталь, содержащая минимальное количество примесных элементов, таких как С, Р, S, N, Н и О. Элементы С, S, N и О представляют собой карбидо, сульфидо, нитридо и оксидообразующие реагенты, которые могут привести к образованию неметаллических включений (NMI) в готовом продукте.

Были проведены серийные микрографические исследования (с помощью оптического микроскопа, микрозонда, сканирующего электронного микроскопа) специально отобранных марок сталей (стали, стойкой к высокосернистому газу), отдельные неметаллические включения классифицированы в зависимости от типа, формы, размера, количества и химического состава. Разработана топология характерных включений в зависимости от марки стали.

После проведенной идентификации NMI их химический состав подвергся модификации с целью получения заданных свойств металла. При этом были использованы приемы, применяемые во вторичной металлургии (например, введение обессеривающих добавок, корректировка времени легирования, перемешивание и т.д.). Точные соотношения между долей NMI и химическим составом были выведены благодаря быстрому химическому анализу, позволяющему обнаружить загрязняющие элементы в диапазоне ppm. Все это позволило выявить важные зависимости относительно существенной связи степени чистоты стали от ее химического состава.

СБОРНИК НАУЧНЫХ ТРУДОВ Черная металлургия России и стран СНГ в XXI веке. Т о м 3, Москва 1994

на главную