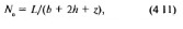
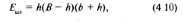
Параметры рудного двораМаксимальная емкость рудного двора при создании единого штабеля равна — длина рудного двора, м, определяемая количеством доменных печей п и расстояниями между ними /л, Н — максимальная высота штабеля (зависит от размеров рудногрейферного крана), м, В — пролет рудногрейферного крана, м Емкость штабеля где b — ширина верха штабеля, м, h — высота штабеля, м ![]() ![]() ![]() Возможное количество штабелей одинаковых габаритов где z — интервал (расстояние) между штабелями, м, b +2h — ширина основания штабеля при угле естественного откоса 45° Средневзвешенная насыпная масса складируемых материалов
Накопление материалов на рудном дворе зависит от принятого резерва времени где т — количество суток работы без подвоза шихты Необходимое количество штабелей не должно превышать их возможного количества
В. А. Авдеев, В. М. Друян, Б. И. Кудрин, Основы проектирования металлургических заводов, М., 2002 |
|