КЛАССИЧЕСКИЕ, ВЕРОЯТНОСТНО-СТАТИСТИЧЕСКИЕ И ТЕХНОЦЕНОЛОГИЧЕСКИЕ ПРИМЕРЫ ПРИНЯТИЯ ПРОЕКТНЫХ РЕШЕНИЙ

Прежде чем перейти к изучению системы принятия проектных и управляющих решений, касающихся цеха, производства, завода, попытаемся ответить на вопросы: что представляет сейчас окружающий нас мир и какие научные взгляды (мировоззрение) позволяют познать окружающее, создавать техническое новое, управлять существующим, частично предвидеть неотдаленное будущее? Большинство людей мало интересуют мировоззренческие проблемы, тем более что научные представления формируются всей системой образования. Она же, в свою очередь, всегда опирается на некоторую общую научную картину мира — парадигму, господствующую в обществе. Важно, что изменение мировоззрения, основанное на науке, всегда приводило к громадным практическим результатам. Вот два примера.

Принцип Галилея об инвариантности неподвижной системы координат и равномерно движущейся относительно нее материальной точки дал основу законам Ньютона и всей классической физике, которая обеспечила промышленный переворот и привела к индустриальному обществу. Заметим, что во Франции предложенные Ньютоном положения не признавались десятилетиями, что объяснялось взглядами Декарта (властвовавшего в то время над умами) и убеждением, восходящим к Аристотелю, об естественности кругового равномерного движения. Лишь язвительные писания Вольтера ускорили принятие мировоззрения Ньютона.

Второй пример связан со специальной теорией относительности, являющейся, безусловно, вершиной научной мысли XX века. Она была подготовлена всем предыдущим ходом физических исследований (электродинамика Максвелла, преобразования Лоренца, опыт Майкельсона, работы Пуанкаре). Но потребовалось свободное от предубеждений, независимое и смелое мышление, чтобы взглянуть на всю проблему с новой точки зрения. С принятием принципа постоянства скорости света в пустом пространстве в качестве одного из основных законов природы, теория относительности кардинально изменила фундаментальные представления о природе пространства и времени. Время и пространство, существовавшие до Эйнштейна в физике как независимые и самостоятельные, оказались связанными скоростью света.

Надо ли напоминать, что использование атомной энергии, появление лазерной техники и технологий, рождение новых наук и направлений неразрывно связаны с переворотом в мировоззрении начала XX века? Логика развития науки открывает перед человечеством новые громадные практические возможности, если удастся увидеть и правильно понять еще один фрагмент картины единого развивающегося мира.

Можно привести в качестве примеров множество задач (расчет статически нагруженных конструкций, пропускной способности агрегатов), решаемых однозначно с использованием постулатов классической науки, давшей первую научную картину мира (отнесем эти задачи к 1-й группе). Однако значительно большее число современных научных проблем неразрешимо без вероятностно-статистических представлений (второй науч-ной картины мира, получившей признание после переписки А. Эйнштейна с Н. Бором). Впрочем, сама теория вероятностей, обязанная своим рождением азартным играм, сформулирована значительно раньше (Я. Бернулли, 1713). Кроме того, еще Р. Броун в 1827 г. сообщил о флуктуациях как о случайных, временных отклонениях какой-либо величины от наиболее вероятного ее значения.

Обратимся к простейшему примеру. Лифт: грузоподъемность 1520 кг, не более 19 чел. Какова грузоподъемность лифта, предназначенного для подъема, скажем, 6 чел.? И каково мировоззрение, на которое мы подспудно опираемся, давая ответ — 480 кг?

Прежде всего, неизменность внешних условий и однотипность конструкции (не переместились на Луну, не изменили среду движения, ускорение, вертикальность и др.). Для нас важнее, что мы сочли возможным ввести интуитивно (или строго математико-статистическими исследованиями) понятие «средний вес взрослого человека» (мы не знаем, таков ли стандарт в Японии, но это различие — уже ценологического свойства) и считать, что каждый из 19 вошедших в лифт может иметь разный вес, но общий не превысит 1520 кг. Еще важнее убеждение (собственно, и отражающее первую научную картину мира) в неизменности со временем формулы вычисления (грузоподъемность равна количеству человек, умноженному на средний вес одного) и в однозначности результатов.

Приведем еще примеры, опирающиеся на классические научные представления и характеризующиеся очевидным, что однозначные исходные данные, определяемые заданиями, нормами, справочниками, дают однозначные результаты, которые не зависят от личности проектировщика и способов вычисления.

1. Абсолютная продольная деформация дельта l стального стержня длиной l при продольной силе Р, совпадающей с осью стержня и равномерно распределенной на одном конце (второй конец стержня закреплен), при подчинении закону пропорциональности напряжений а в поперечном сечении площадью F относительной продольной деформации е (закон Гука).

2. Пропускная способность агрегата для комплексной внепечной обработки стали

3. Критическая величина нормального давления, вызывающая потерю устойчивости при увеличении обжатия трубы

4. Скорость выхода трубы из стана спиральной сварки

Эти и возможные многочисленные примеры, в т.ч. классических химических реакций, составляющие основу металлургического производства, опираются на представления (постулаты) первой научной картины мира, восходящей к классической физике Ньютона — Максвелла: система дифференциальных и интегральных уравнений позволяет строго однозначно определить положение и движение материальной точки (поля). Наука последних столетий и инженерная практика для каждой отрасли экономики создали систему понятий, терминов, математический аппарат, которые по любой технической специальности позволяют проводить единопонятные расчеты.

Результат Архимеда для рычага или соотношение Пифагора для сторон 3:4:5 прямоуголь-ника не изменилось за тысячелетия и не изме-нится. Вода вытекает из бассейна и течет в него, хотя уже не одно столетие существует многократ-но и ежегодно подтверждаемый учениками при одинаковых исходных данных однозначный и одинаковый результат.

Казалось бы, что на это мировоззрение — первую научную картину мира — можно опираться и, взяв скоростные режимы работы (табл. 1.4), рассчитать параметры чистовой группы стана 2000. Другими словами, данные таблицы столь однозначны, сколь однозначны результаты расчетов по примерам. Смотрим далее и «спотыкаемся» о слово рекомендуется. Для непрерывных станов рекомендуется в горизонтальном черновом окалиноломателе применять обжатия до 35 мм; 20— 35 % в первых двух клетях черновой группы; 25— 45 % в последних клетях (клетях 3—5). В реверсивных клетях полунепрерывных станов применяют обжатия 15—35 % в первых проходах, 25— 45 % — в последних. Для непрерывных чистовых групп клетей используются следующие режимы обжатий, %: 20—50 в клетях 1—2, 15—45 в клетях 3-4, 15—30 в клетях 5—6, 15—25 в последней клети. Раствор валков вертикального окалиноломателя рекомендуется устанавливать на 5—50 мм уже размера сляба.

Обратимся к расходным коэффициентам табл. 1.5 и выполним простой анализ:
1) таблица вошла в учебники и отражает эмпирический опыт и многолетнюю практику планирования и управ-ления;
2) или дается одно значение, что, собствен-но, и соответствует понятию среднее, или задается интервал.
Вопросы: допускается ли отклонение и какое; охватывает ли интервал все значения и уместно ли использовать среднее в интервале; чем вызвано различие на порядок в точности (десятые, сотые, тысячные?

Таким образом, как будто на все есть формулы, и в прокатке тоже все должно поддаваться расчету, поскольку все законы механики (физики — для этих масштабов) исчерпывающе описаны, а свойства металла — известны. Однако нет:

Нельзя точно рассчитать обжатие, приходится переходить к вероятностным представлениям, которые у большинства ассоциируются с математической статистикой.

При обсуждении возможности (использования) теории вероятностей для решения проектных (технологических) задач, отнесенных нами ко 2-й группе, приводимых далее, полагают, что наблюдаемые или проектируемые случайные процессы протекают во времени приблизительно однородно. Непрерывные случайные колебания происходят как будто вокруг некоторых средних значений, причем ни средняя амплитуда, ни характер этих колебаний не обнаруживают существенных изменений во времени. Т.е. идут стационарные случайные процессы, вероятностные характери-стики которых не зависят от времени.

При обработке результатов ограниченного числа опытов инженер, как правило, не знает параметров закона распределения, но полагается на некоторые оценки. Он считает, что: 1) оценки должны быть состоятельными, т. е. при увеличении числа опытов п оценка а приближается к истинному значению параметра а (сходится по ве-роятности), 2) не вносится систематическая ошибка в сторону завышения или занижения (несмещенность оценки), 3) оценка эффективна, т. е. выбранная несмещенная оценка обладает по сранению с другими наименьшей дисперсией. При решении проблем, связанных с выводом закона распределения, и проверке гипотез о соответствии результатов независимых опытов тому или иному закону распределения применимы разные критерии, например критерий Пирсона, более известный как х2, или критерий Колмогорова

В наиболее общем теоретическом аспекте инженер-проектировщик полагает, что для создаваемых им систем действует центральная предельная теорема и закон больших чисел. Это ведет к уверенности, что существует математическое ожидание (среднее), а дисперсия конечна (ошибка определяема и инженерно приемлема)

Практически это означает, в свою очередь, уве-ренность инженера в возможности использования набора формул с целью получения однозначных конечных результатов, укладывающихся в инженерную ошибку. Такой результат оказывается приемлемым для завода, цеха, отдельной технологической операции.

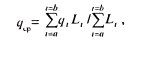
При проектировании нового цеха сортамент и программу производства указывают в задании на проектирование. Расчетный сортамент в этом случае определяют, выделяя средневзвешенные размеры по сортаментным группам, размеры проката и труб в каждой из которых характеризуются общностью технологии производства Расчетный размер выбирают на основании определения средневзвешенной массы 1 м проката и труб, входящих в данную группу


где qt — масса 1 м готовой продукции попрофилеразмера; L — объем производства типопрофилеразмера в метрах; а, b — значения, соответствующие индексам проката или труб у границ данной группы.

По полученному значению qcp из ряда типрофилеразмеров, входящих в группу, выбирают размер продукции-представителя, масса 1 м которой минимально отличается от расчетной Если при определении границ группы приняты допущения относительно общности технологии или равного выхода годного, то в качестве расчетного выбирают размер проката или трубы, технология изготовления которых отличается большей трудоемкостью или объем производства которых в данной группе преобладает над остальными.

При расчете режима обжатий при прокатке оп-ределяют максимальное обжатие Дhmax с учетом ограничивающих факторов (условия захвата, пла-стичность металла, прочность валков и деталей, мощность двигателя) и выбирают схему распределения обжатий, в зависимости от которой при-нимают среднее обжатие. По требуемому суммарному обжатию за все проходы Дh= 1,15[(? — Ь) + + (Н — h)] (где В, Н — размеры слитка, b, h — размеры блюма) определяют число проходов ДА/ДА. и в соответствии с графиком распределения и величинами Дh и ДАтах составляют таблицу обжатий

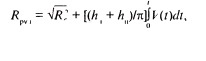
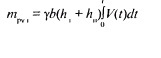
При прокатке на блюминге рядовых марок стали кантовки полосы назначают в следующем порядке, первую кантовку — после первых двух (иногда четырех) проходов, последующие — через четное число проходов так, чтобы отношение сторон полосы по возможности не превышало 1,3 (при прокатке на гладкой бочке) или 1,7 (при прокатке в калибрах); последнюю кантовку — пе-ред последним проходом. При прокатке слитков из качественных марок кантовки проводят через каждые два прохода независимо от соотношения сторон раската На рис 1 4 и 1.5 проиллюстрирована одна из инженерных задач и способ ее решения, опирющийся на детерминированные принципы (формулы) Так, изменение радиуса рулона в процессе намотки/размотки определяется формулой


изменение массы перемещаемого рулона — выражением.

Основные технологические требования к электроприводам промежуточного накопителя привдены ниже:


Мы не приводим разъяснения к формулам и выражениям, позволяющим рассчитать механизмы и параметры полосы, и не даем пояснения к рисункам (частично понятным при сравнении их с приведенными выше данными), так как ставим задачу лишь показать существующую методологию инженерных решений, цель которой — свести многообразие условий к первой научной картине мира, а вторую — отразить заданием пределов (плюс—минус) или точностно.

Поскольку фактически на технологический процесс прокатки вероятностно накладываются возмущающие внешние и внутренние факторы, с которыми, собственно, и должно “справиться” проектируемое оборудование, то оговариваются условия - технологические пределы, в которых допустима работа, обеспечивающая выпуск требующейся продукции.

Приведем еще примеры использования вероятностно-статистических представлений, включающих математическое ожидание и предположение конечной дисперсии (ошибки).

1. После внепечной обработки стали в ковше и гомогенизации расплава по температуре плавка передается к МНЛЗ, разливка на которой серией плавок экономически выгодна, процесс разливки непрерывен, поэтому очередной ковш со сталью поступает заранее: в технологическом процессе предусматривается его плановый простой. С учетом времени на транспортировку и позици-онирование ковша на подъемно-поворотном стенде МНЛЗ, колебания длительности выполнения технологических операций и нештатные ситуации простой на участке “внепечная обработка - разливка” может изменяться от 5 мин до 1 ч (очень редко — до 1,5 ч).
Характер гидродинамических и тепловых процессов в ковше со сталью при свободной конвеции существенно зависит от кампании ковша, межплавочного периода, толщины и жидкоподвижности слоя шлака, наличия предварительного подогрева ковша, температуры стали и ряда других факторов. Распределение температуры стали в ковше в конце простоя носит вероятностный характер и может быть описано как классическими (с вероятностно меняющимися коэффициентами), так и статистическими моделями.

2. Рельсы низкотемпературной надежности по ТУ 14-1-5233-93 содержат: 0,71-0,82 % С, 0,25-


Коэффициент множественной корреляции модели 0,55. Среднеквадратичная ошибка 0,0025.

3. Технология прямого легирования стали марганцем в дуговых сталеплавильных печах обеспечивает при минимальных затратах получение низ-кого содержания серы при высоком сквозном извлечении марганца из руды. Определение необходимого количества присадок марганцевой руды в качестве исходных данных опирается на вероятностные представления о текущих концентрациях элементов металла и шлака по ходу окислительного периода, а также на температуру металла. Процесс усвоения ванной марганцевой руды аппроксимируется экспоненциальным законом:


где коэффициент t определяют по эксперимен-тальной зависимости от времени, прошедшего после завалки руды в печь: t = 0,9552/ _0-8375.

4. Динамика температур металла в конце стрипперирования, показывающая за учетные сутки фактическую температуру (t, °С) конца стрипперования и признак (номер печи) рельсовой стали, и в момент прибытия состава в отделение нагревательных колодцев представлена на рис. 1.6.

5. Между объемами металлургического произ-водства и площадью завода существует корреляци-


онная зависимость. Но она неоднозначна, хотя и может быть описана кривой, близкой к графику обратной пропорциональной зависимости (рис. 1.7).

Кроме объема производства, на показатель существенно влияют следующие факторы:
1) специализация производства, число пере-делов, мощность металлургических агрегатов;
2) виды транспорта, используемого на внешних и межцеховых перевозках
; 3) плотность застройки.

Удельная площадь завода в значительной мере зависит от видов транспорта, используемых на внешних и межцеховых перевозках. Так, желез-нодорожные пути занимают на заводе 10—16 % всей площади, а автомобильные дороги всего 2— 3 %. Большая экономия площади достигается при-менением конвейерного и других видов непрерывного транспорта взамен железнодорожного.

Принятие решений для каждой из групп задач первой и второй научных карт мира различно. Первая группа предполагает наименьшую квалификацию. Специалист должен знать основные термины и понятия, изучив когда-то данную дисциплину: сопротивление материалов, теоретические основы электротехники, основы обработки металлов давлением. Тогда по заданной формуле производится расчет, причем многие величины, входящие в формулы, определяются справочными данными и, если так можно выразиться, не меняются во времени и не зависят от места расчета, политических или иных соображений. Например, модуль продольной

ошибку, но при любых юридических или иных конфликтах, несущих административную или иную ответственность, не будет претензий к формуле и к величине справочных исходных данных.

Можно сделать важный вывод, что существует большой круг проектных задач, где результат расчетов однозначен при одних и тех же исходных данных, потому что он опирается на устоявшиеся научные (инженерные) представления и на отработанный справочный аппарат (информацию).

Вторая группа примеров отражает вероятнос-тно-статистические представления, которые ос-нованы на том, что существует множество случайных причин и факторов, которые не дают воз-можности технологически получить однозначный результат, и в этом случае выступают некоторые ограничения, накладываемые на принимаемые технические решения. Так, непрямолинейность железнодорожного рельса вдоль его рабочей по-верхности является существенной характеристикой качества и не может быть выполнена идеально. ГОСТ 24182 определяет задачу разбраковки: превышает ли у(х) хотя бы в одной точке х: уста-новленный порог у — 0,5 мм на базе 1 м (для скоростной магистрали Москва - С.-Петербург у = 0,3 мм на базе 1,5 м). Существует множество вероятностных моделей, опирающихся на разные методы математической статистики, включая ме-тоды регрессионно-корреляционного анализа, экстраполяции, гармонических рядов и др. В настоящее время существует технический анализ, который предлагает около 300 моделей, исследующих тренд.

Характерной особенностью вероятностно-ста- тистического класса моделей является убежденность исследователя в существовании некой за-кономерности — нужный результат может быть найден как функция некоторого количества фак-торов, при этом количественный результат имеет некоторое математическое ожидание (среднее) и некоторую конечную дисперсию (ошибку), при-чем с увеличением выборки мы более точно приближаемся к истинному значению, а следовательно — ошибка уменьшается.

Обратимся к примерам задач 3-й группы (см. рис. 1.3), данные табл. 1.1, 1.2 и 1.6 проранжированы по стали и достаточно полно характеризуют величину каждого из металлургических предприятий в последние годы существования Советского Союза, когда требовалась максимальная загрузка агрегатов (достигавшая 95—98 %) и действовала жесткая система планирования. Объекты таблиц и рисунков рассматриваются как некоторая целостность — технический ценоз, далее по условиям анализа (исследования, изучения, оценки для принятия решения и др.) неделимый. Каждое государство как производитель чугуна и стали (табл 1 1), предприятие по приведенным показателям (табл 12 и др ), сооружение - доменная печь по объему (рис 1 3) индивидуальны Это таже далее неделимый элемент, своеобразная особь

Третья группа примеров ставит вопрос принципиально несколько по-иному. Так, продолжительность простоев может, например в системе сталь - прокат, изменяться от 5 до 90 мин И возникает задача распределения простоев по час-тоте встречаемости, то есть как часто за какой-то пример времени, например месяц, квартал, год, мы встретим простой 90 или 60 мин и как часто — 5 или 10 мин Здесь также можно определить среднее время простоя в течение, например, года, и применять для тех или иных расчетов, но при построении системы надо оперировать со всем распределением. Здесь, по крайне мере можно лишь отметить ценологическое свойство, что простои большой продолжительности встречаютсяся реже. В качестве примеров, характеризующих техноценологические свойства рассматриваемых объектов, приведем следующие

1. Удельные расходы электроэнергии по доменному производству за 1990 г в целом по совокупности заводов (комбинатов) При среднем по отрасли удельном расходе 14,9 кВт • ч/т минимальный составил для Енакиевского 3,5 и для Новолипецкого 43,3 кВт* ч/т Более чем 12-кратная разница отражает ценологические свойства системы, если рассматривать все доменные печи страны как техноценоз, где производительность и условия работы любой слабо обусловлены состоянием и режимом работы других
2. Различие в удельных расходах электроэнергии на выплавку конвертерной стали, которые в 1990 г составили в Череповце 49,7, в Караганде 13,1 кВт * ч/т, свидетельствует о техноценологи- ческих свойствах конвертерного сталеплавильного производства страны как системы Анализ изменения удельных расходов электроэнергии на производство стали с 1970 по 2000 г показывает непрерывный и устойчивый в целом рост энергоемкости, хотя на отдельных заводах и наблюдается снижение удельных расходов.

Площадь металлургических заводов в ограде (или в соответствующих ей согласованных границах) в значительной степени характеризует про-ект предприятия и оказывает значительное влияние на капитальные затраты Для оценки проекта генерального плана используется показатель удельной площади завода, то есть площади на единицу годового объема производства стали У некоторых крупных отечественных заводов (комбинатов) эти показатели имеют следующие значения числитель — общая площадь, га, знаменатель — удельная на 1 ства стали 1 млн т годового производ-

цехов), а на Карагандинском комбинате — около 80 га (конвертерный и мартеновский цехи)

Еще в большей степени различают площади районов прокатных цехов Так, прокатное про-изводство на основной площадке Магнитогорского комбината занимает около 200 га, на НЛМЗ — 560 га, на Челябинском металлургическом за-воде — свыше 400 га

Некоторые вспомогательные производства, получившие значительное развитие, нуждаются в больших площадях Так, переработка шлака на Нижнетагильском комбинате занимает более 120 га, на ЧМЗ — свыше 80 га

При переходе на агрегаты большой единичной мощности удельная площадь завода уменьшается Так, площадь района сталеплавильного производства при конвертерах емкостью 130 т составляет 6,5 га на 1 млн т стали, а при увели-чении емкости конвертеров до 250 т этот показатель уменьшается до 4,5 га Аналогичное влияние оказывает и увеличение объема доменных печей Существенно сокращается площадь завода при использовании непрерывного литья заготовок (на 6—7 га в расчете на 1 млн т стали в год)

Перечислим основные особенности сообщества (техноценоза), каждая из которых проявляется при сравнении современного постиндустриального общества с первой классической и второй вероятностно-статистической картинами мира

Во-первых, привязка во времени В данном случае достаточно указать год Но в случае необходимости повышения эффективности работы, например ДСП-100, анализ должен осуществлять ся по плавкам с фиксацией времени и условии, что позволяет выделить нормальный (гауссов) ход процесса, технологические и прочие отклонения (вызванные техноценологическими свойствами системы, определяющими повышение эффектив-ности в рамках действующей технологии).

Во-вторых, любой список-перечень не может быть исчерпывающе полным, что обусловливает практическую бесконечность числа элементов и конвенционность границ выделения. Интуитивно (или по соглашению) мы вводим понятие страна, имеющая металлургическое производство, на-пример стали. Табл. 1.6 не полна, в частности, и потому, что в нее не включены сталеплавильные производства ВПК, автомобильной промышлен-ности, сельского хозяйства и др.). Важно, что гра-ницы выделения всегда конвенпионны, т. е. оп-ределяются по соглашению, договоренности, на основании здравого смысла.

В-третьих, страна, завод, сооружение, агрегат в техноценологии не могут рассматриваться изоли-рованно. Каждый из элементов (страна, завод, домна) функционирует и развивается как будто независимо. Для каждого можно построить удовлетворительные функциональные зависимости; экстраполяционные, корреляционно-регрессионные, временные и иные вероятностно-статистические модели, провести в целом технический анализ. Но на все сообщество накладываются некоторые вн-шние воздействия: энергетический кризис, изменение курса валют, политические, экологические, социальные и иные. Можно построить функцию изменения производства стали от времени для каждого из заводов отрасли. Корреляционная же связь каждой пары заводов в подавляющем большинстве случаев статистически незначима. Поэтому можно говорить о техноценозе как о системе, между элементами особями которой существуют слабые связи и зависимости.

В-четвертых, вопрос о среднем. Можно сложить годовое производство стали и разделить на количество стран (заводов). Получим, безусловно, какое-то среднее значение.

Но оно не имеет физического смысла, в отличие от средней ско-рости по Ньютону, математического ожидания и дисперсии времени продувки конвертера по второй картине. При техноценологическом рассмотрении мы можем и должны рассматривать весь ряд, представляющий при графическом выраже-нии некоторую гиперболическую кривую распределения [например, если по оси абсцисс откладывать номера заводов в порядке убывания их производительности (ранги), а по оси ординат — параметр (выплавку стали)].

Наконец, в-пятых. Если для целей анализа и проектирования мы взяли завод (страну) и хотим по производству стали достичь такого же показателя, а затем получить данные по чугуну, фондо-вооруженности, расходу ресурсов и др., то следует четко представлять, что техноценологические свойства всегда диктуют различие всех показателей. Вот характерный пример: сравним приведенные ранее объемы реализации Череповецкого, Магнитогорского и Новолипецкого комбинатов и количество персонала на них.

На примере данных табл. 1.6 рассмотрим технологические проявления, определяемые третьей научной картиной мира, применительно к предприятиям черной металлургии: 1) перечень заво-дов не полон: всегда остаются отдельные цехи, мелкие и ремонтные заводы, рудники, научно- исследовательские и иные организации, плавящие небольшие объемы; 2) если по оси ординат отложить величину выплавленной стали в поряд-ке убывания (именно так в таблице и сделано), а на другой — ранг по порядку, то получится ранговое гиперболическое распределение по параметру «сталь», крутизна которого описывается некоторым характеристическим показателем. Его величина устойчива и за 1970—1990 гг. менялась незначительно. Сама кривая сформировалась в 50-е годы. В 30-е годы думали, что можно строить одинаковые заводы (по одному проекту хотели построить Криворожский, Магнитогорский, Кузнецкий заводы), одинаковые домны, мартены, станы (это запрещает теория техноценозов); проранжировав фондовооруженность, электровооруженность, рентабельность (и любые другие интегральные характеристики), также получится ранговое распределение с близкими характеристическими показателями. Но ранги заводов будут иными; 4) если найти среднее по каждому из столбцов, то оно будет характеризовать отрасль в целом и в этом качестве использоваться при ранжировании стран. Но это среднее нельзя использовать при проектировании, т.е. прямо принять за расчетную величину. Впрочем, нельзя, задумав построить завод производительностью 4400 тыс. т стали в год, взять нечто среднее между За- порожсталью и Орско-Халиловским комбинатом ни по одному показателю трех последующих столбцов; 5) различия между max и min при ранговых Я-распределениях по каждому столбцу велики и никогда не укладываются в гауссовы ограничения, например принимаемые при прокатке (где они действуют). Различие иллюстрируют, говоря, что если бы рост людей подчинялся не нормальному распределению, это доказано математической статистикой, а распределению, подобному таблице, то на улице встречались бы изредка великаны, а мальчикспальчик не один, а толпами.

В. А. Авдеев, В. М. Друян, Б. И. Кудрин, Основы проектирования металлургических заводов, М., 2002

на главную