ВЫБОР ОПТИМАЛЬНОЙ КОНЦЕНТРАЦИИ МОЩНОСТЕЙ ИСТОЧНИКОВ ЦЕНТРАЛИЗОВАННОГО ТЕПЛОСНАБЖЕНИЯ

Задача определения оптимальной мощности ТЭЦ, районных отопительных и промышленно-отопительных котельных решается при разработке схем теплоснабжения. При этом в расчетах, как правило, не учитывался местные котельные и не производится сравнение эффективности снабжения потребителей теплом от этих котельных и от центральных источников тепловой энергии. Невозможность и нецелесообразность в большинстве случаев такого сравнения вызывается дальностью перспективы (10—15 лет), которая рассматривается при выполнении схем теплоснабжения, и сложностью учета местных котельных ввиду их многочисленности, что особенно характерно для городов Сибири. По-видимому, уточнение мощности центральных источников тепла должно производиться при рассмотрении очередности закрытия малоэкономичных местных котельных на ближайшую перспективу (5 лет), т. е. после разработки схемы теплоснабжения — в процессе развития системы централизованного снабжения теплом промышленных предприятий и коммунально-бытового сектора городов.

До настоящего времени эта задача решалась на основе или определения экономически допустимой дальности транспорта тепла в предположении равномерного распределения тепловой нагрузки по территории городов, или путем сравнения ряда произвольно назначаемых вариантов степени централизации теплоснабжения [66].

При рассмотрении этой задачи в динамике, т. е. «учетом постепенности роста тепловых нагрузок по отдельным потребителям города, следует учесть, что чем больше дифференцируется потребление тепла по микрорайонам и промышленным предприятиям города, тем меньше точность определения для них значений тепловых нагрузок на перспективу. В связи с этим вряд ли целесообразно решать рассматриваемую задачу для периода более 5 лет.

Задача выбора оптимальной степени концентрации мощностей источников централизованного теплоснабжения рассматривается в следующей постановке. Задано: микрорайоны жилищного сектора по каждому тепловому району города, их часовые и годовые тепловые нагрузки; часовые и годовые тепловые нагрузки (в паре и горячей воде) крупных промышленных предприятий, их территориальное размещение; число существующих местных (квартальных и промышленных котельных), их размещение по территории города и технико-экономические характеристики; возможные центральные источники теплоснабжения, их территориальное размещение и предельные производительности; возможные площадки для сооружения новых местных котельных; возможные направления трассы водяных и паровых тепловых сетей; вид топлива и замыкающие затраты на него для ТЭЦ, районных и местных котельных (с учетом затрат на его внутригородские перевозки); варианты состава основного оборудования ТЭЦ (на последний год расчетного периода); замыкающие затраты на электроэнергию. Требуется определить: мощность источника централизованного теплоснабжения, часовой и годовой отпуск от него тепла и электроэнергии; число и производительность новых и последовательность закрытия существующих местных котельных.

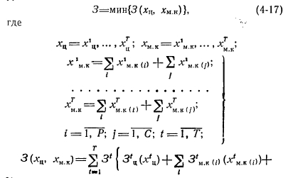
Задача определения оптимальной концентрации мощности источника централизованного теплоснабжения заключается в том, чтобы из заданных потребителей выбрать такие, для которых при централизованном теплоснабжении от рассматриваемого источника (ТЭЦ или районная котельная) решение будет в целом оптимальным, соответствующим минимуму целевой функции 3 Таким образом, при заданной по годам расчетного периода суммарной тепловой нагрузке района или районов города (Q1, ..., QT) необходимо определить оптимальный отпуск тепла от центрального источника




Расчет и сравнение всех Т-2т вариантов, даже если m сравнительно невелико, потребовало бы недопустимо много времени, несмотря на использование быстродействующих ЭВМ (например, если т—20, Т=5, то Т•2т =5-106).

В связи с тем что в настоящее время отсутствуют точные и строгие методы решения рассматриваемой задачи, возникает необходимость в разработке и применении для этой цели приближенных методов. В качестве такого приближенного математического метода могут быть использованы некоторые приемы, основанные на применении линейного и нелинейного программирования и позволяющие организовать пошаговый процесс решения задачи, в принципе аналогичный рассмотренному выше, используемому при оптимизации развития систем централизованного теплоснабжения и теплофикации (на стадии разработки схемы теплоснабжения). Ввиду того что характер проведения такого пошагового процесса подробно описан выше (см. § 4-1), в данном случае пояснения к нему не приводятся.

Учитывая, что в реальных условиях число местных котельных может измеряться сотнями, вопрос об увеличении допустимого объема задачи по выбору степени концентрации мощности и числа центральных источников теплоснабжения городов представляет большое значение. В том случае, когда вычислительные возможности современных ЭВМ не позволяют решать подобную задачу в полном объеме, ее можно рассматривать по частям. Для этой цели могут быть применены следующие методы: метод поэтапного рассмотрения всей системы теплоснабжения города; метод, основанный на последовательном рассмотрении отдельных районов города.

Первый метод заключается в следующем. На первом этапе укрупненно задаются нагрузки по тепловым районам города и рассматриваются только возможные центральные источники тепла и направления магистральных тепловых сетей, как это схематически показано на рис. 4-6,а. В результате решения, выполненного с помощью описанного выше метода, определяются радиусы снабжения теплом от найденных центральных источников, а также направления трассы магистральных тепловых сетей (рис. 4-6,6).


При втором методе задача решается в следующей последовательности. Намечаются места сооружения и предельные мощности возможных центральных источников тепла (ТЭЦ и районных котельных). Тепловые нагрузки ближайших к ТЭЦ районов задаются концентрированно, а для самого удаленного района — рассредоточение с указанием всех местных котельных в этом районе (рис. 4-8,а). Решается задача вышеуказанным методом, и определяются перетоки тепла от центральных источников, расположенных в других районах, в удаленный район. Таким образом, фиксируется нагрузка этого района, покрываемая теплом от внешних (по отношению к данному району) источников. На следующем этапе решения задачи «раскрывается» следующий район (с учетом всех местных источников тепла), а для ранее рассмотренного района учитываются только те источники тепла, которые выявлены на первом этапе решения задачи (рис. 4-8,6). Расчеты повторяются до тех пор, пока не будут рассмотрены все районы города. В результате полученного решения уточнятся число и производительность центральных и местных источников тепла. Таким образом, процесс решения задачи заключается в последовательном «свертывании» всей системы теплоснабжения города, начиная от ее самых удаленных районов.


Рассмотренные методы можно отнести к классу эвристических, поскольку они основаны на некоторых инженерно-интуитивных предположениях и сходимость решения при их применении математически строго не доказывается.

Хрилев Л. С., Смирнов И. А./Оптимизация систем теплофикации и централизованного теплоснабжения/Под ред. Е. Я. Соколова.— М.: Энергия, 1978.

на главную