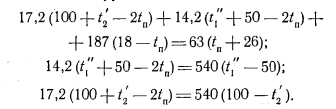
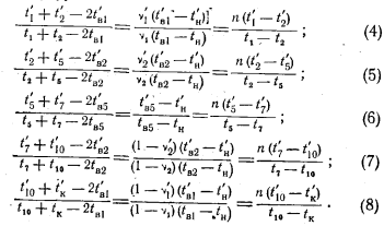
ПАРАМЕТРЫ И СТРУКТУРА ЦЕНТРАЛЬНЫХ СИСТЕМ ВОДЯНОГО ОТОПЛЕНИЯВ настоящее время проектные и строительные организации проектируют и сооружают системы отопления для всех районов страны на одни и те же параметры (95° С для подающих труб и 70° С для обратных), тогда как климатические условия в этих районах различны. Так, например, в Архангельске, Иркутске, Мурманске, так же как и в ряде других городов, продолжительность отопительного периода соответственно составляет 5 619, 5 660 и 5 881 ч, в то время как в городах южных районов (Ялта, Новороссийск) продолжительность отопительного периода составляет всего лишь 1 336 и 1 339 ч, а в Сочи даже 667 ч. Правда, расчетная разность температур, в известной степени определяющая затраты на строительство систем отопления, в южных районах по сравнению с северными снижается, однако это снижение ни в какой степени не соответствует уменьшению продолжительности отопительного периода. Действительно, расчетная разность температур внутреннего и наружного воздуха для Иркутска составляет 56° С, а для Сочи 23° С (т. е. уменьшается на 09%), в то время как продолжительность отопительного периода в Сочи по сравнению с продолжительностью отопительного периода в Иркутске составляет лишь 12% (уменьшается в 8,3 раза). Такое несоответствие ведет к тому, что использование средств, вложенных в строительство систем отопления в южных районах, значительно ниже, чем в северных. Такое положение, естественно, является неправильным и с санитарно-гигиенической точки зрения, а потому такая практика проектирования систем центрального отопления, безусловно, нуждается в пересмотре. Прежде всего необходимо пересмотреть применяемые в системах отопления расчетные параметры теплоносителя и установить их в зависимости от климатического района города и продолжительности отопительного периода. Несмотря на то, что высокие температуры нагревательных приборов нежелательны с санитарно-гигиенической точки зрения, применение одного и того же предела этих температур для различных районов страны не может быть признано правильным, так как продолжительность воздействия на человека нагретых поверхностей отопительных приборов в северных и южных районах неодинакова. Поэтому было бы правильно установить для городов южных районов страны более высокие расчетные параметры теплоносителя по сравнению с северными районами. Продолжительное периода, при котором температура на поверхности отопительных приборов будет равна или выше 70° С для городов, расположенных в различных климатических районах, приведены в табл. 2. ![]() Как видно из таблицы, при сохранении верхнего предела температур теплоносителя на одном и том же уровне для всех климатических районов наших городов продолжительность периода с температурой приборов 70°С и выше с продвижением их на юг снижается, достигая в Новороссийске всего лишь 22 дней, что по отношению к Иркутску (74 дня) составляет менее 30%. Если принять для более южных районов и более высокие максимально допустимые температуры поверхности нагрева нагревательных приборов, то продолжительность периода поддержания их температуры 70° С и выше в различных районах выравнивается, продолжая оставаться все же значительно ниже, чем в районе северных городов. Это положение свидетельствует о закономерности еще большего повышения температуры поверхности нагревательных приборов в более южных городах по сравнению с северными. Принимая во внимание, что общая продолжительность отопительного периода в южных районах значительно меньше, можно заключить, что при увеличении температуры поверхности нагревательных приборов систем отопления население городов южных районов в санитарно-гигиеническом отношении будет находиться в лучших условиях, чем население более северных городов. Следует отметить, что фактически работа систем отопления по более высокому температурному графику, чем 95° С (при расчетной температуре наружного воздуха), давно уже имеет место. Действительно, при присоединении жилых домов и их систем отопления к тепловым сетям всегда получается, что отдельные дома работают при коэффициентах смешения намного ниже расчетных, что соответственно обусловливает для них и более высокие значения температур воды. Температура поступающей при этом в систему отопления воды может быть найдена из равенства, определяющего коэффициент смешения: ![]() Температура воды после систем отопления () в этом равенстве является по существу неизвестной. В зависимости От общего расхода воды в системе она может быть выше или иже расчетной. В том случае, когда расход воды в системе отопления будет близким к расчетному или выше его, температура воды после систем отопления будет выше расчетной. При малом расходе воды в системе отопления эта температура может получиться и ниже расчетной. Если принять ее равной расчетной, то при с = 150° С; н = 1,0 и 2 = 70°С имеем: = 110° С. Полученный результат показывает, что при принятых условиях рассматриваемая система отопления будет работать в расчетных условиях при температуре на 15° С выше нормы. При температуре обратной воды выше расчетной эта разность будет еще большей. При более низкой температуре обратной воды начальная температура воды в системе отопления несколько снижается. Но даже при значении этой температуры, равном 50° С, она все еще продолжает быть на 5° С выше расчетной. При выборе и оценке систем водяного отопления, которые могли бы найти применение при устройстве однотрубных систем тепловых сетей, следует иметь в виду еще одно немаловажное обстоятельство. Дело в том, что при однотрубных системах тепловых сетей системы отопления должны будут работать, как правило, на повышенных температурных перепадах. Поэтому для таких условий более благоприятными будут однотрубные системы водяного отопления, а не Двухтрубные, поскольку расход воды в последних будет чрезвычайно малы-м. В современных условиях, при применении повышенных температурных перепадов, он снизился бы до недопустимо малых размеров. Повышенный температурный перепад теплоносителя в системе отопления будет обусловливать соответственно и повышенный температурный перепад на каждом этаже или в каждом нагревательном приборе. Если принять начальную и конечную температуры воды в системе отопления = 110° С и = 50° С, то в зависимости от этажности здания при равномерной теплопотере здания по этажам падение температуры теплоносителя на каждом этаже при однотрубной системе водяного отопления с нижней разводкой магистралей, о которой более подробно сказано ниже, будет следующим: ![]() ![]() Из полученной таблицы видно, что в обычных однотрубных системах водяного отопления повышенная температура теплоносителя, даже в многоэтажном здании, не будет распространяться за пределы одного этажа. Фактически нижние этажи имеют более высокие потери тепла; кроме того, сосредоточенное расположение нагревательных приборов внизу имеют лестничные клетки; следовательно, при конкретном проектировании, даже при применении повышенных параметров теплоносителя, подавляющее количество жилых помещений может быть обеспечено теплоносителем с температурой, не превышающей обычных температур. Температура теплоносителя при соответствующей компоновке системы может быть снижена еще и в кухнях. Все это показывает, что применение однотрубных систем тепловых сетей возможно рационально организовать не только в южных городах, но и в более северных. Вопрос об установлении целесообразной температуры воды после систем отопления также должен быть пересмотрен. Понижение температуры воды на выходе ее из системы отопления, увеличивая использование температурного перепада теплоносителя в системах теплофикации и снижая в них расход воды, уменьшает по сетям диаметры труб и, следовательно, первоначальные затраты. ![]() Кроме того, это понижение обратной температуры уменьшает расходы электроэнергии на работу сетевых насосов, увеличивает выработку электроэнергии на тепловом потреблении. До сего времени, однако, решение вопроса о снижении температуры воды на выходе ее из систем отопления затруднялось тем, что при существующих схемах и системах отопления и при существующих методах их регулировки практически было почти невозможно осуществить качественную регулировку систем отопления при работе их на повышенных температурных перепадах. Работами, проведенными Академией коммунального хозяйства, было доказано, что повышение температурного перепада в системах отопления с 20 до 25° С увеличивает размеры их разрегулировки более чем в 2 раза (рис. 1). Это обстоятельство хорошо известно и эксплуатационному персоналу, который всегда стремится для улучшения работы отопительной системы увеличить расход в ней. Этим объясняется, что до сено времени системы отоиления продолжают рассчитываться на относительно небольшие температурные перепады. Помимо пересмотра расчетных температурных параметров, многое предстоит сделать и в отношении самих конструкций и схем систем отопления. В качестве нагревательных приборов в центральных системах отопления жилых и общественных зданий используются обычно только радиаторы. Бесспорно, что с гигиенической точки зрения радиаторы дают лучшее решение по сравнению с другими нагревательными приборами, ,в частности с нагревательными приборами из труб прямоугольного оребрения. Однако если устройство такого нагревательного прибора и установка его будут надлежащим образом архитектурно оформлены и если этот нагревательный прибор будет использован в году не более чем 2—3 мес., то использование подобных приборов вполне может быть допущено. Известно, что при проектировании центральных систем отопления нашими проектными организациями, как правило, применяется покомнатная расстановка нагревательных приборов. Бесспорно, что такая расстановка приборов является наилучшей и она закономерна для наших северных и средних районов, однако в южных районах с непродолжительным отопительным периодом вполне может быть оправдана установка одного нагревательного прибора — калорифера — с подачей нагретого воздуха в каждую отапливаемую комнату. Применение таких воздушных» систем начинает входить в практику проектирования систем отопления как в нашей стране, так и за рубежом.. В частности, Академией строительства и архитектуры СССР осуществлены две такие системы в Москве в многоэтажных домах, в которых мощные центральные калориферные системы были смонтированы в полуподвальной и подвальной частях дома с подачей воздуха по прямоточной системе без его рециркуляции по отдельным комнатам здания. В этой системе каждая комната имеет собственный обособленный канал, берущий начало непосредственно в калориферной камере, что обеспечивает лучшее распределение потоков воздуха по зданию. Хорошие результаты работы этой системы доказывают целесообразность ее устройства даже в многоэтажных зданиях центральной зоны, а тем более в более южных районах и в домах с малой этажностью. При переходе теплофикации и систем централизованного теплоснабжения на однотрубные пересмотр проектирования центральных систем водяного отопления в домах становится совершенно необходимым, поскольку при однотрубных тепловых сетях возможность использования существующих схем двухтрубных и однотрубных систем водяного отопления затрудняется. ![]() При применении однотрубных систем тепловых сетей необходимы специальные схемы отопления с большим расходом воды в нагревательных приборах. К таким системам в первую очередь относятся все калориферные системы, поскольку при них расход воды в калориферах всегда получается достаточно большим по сравнению с расходом воды в отдельно стоящем радиаторе. С точки зрения поставленной задачи заслуживает внимания разработанная инж. Ладинским в Свердловске горизонтальная однотрубная система отопления, подобная показанной на рис. 2. В этой схеме каждый этаж имеет две разводящие магистрали с противоположной циркуляцией воды ® них. Каждое помещение имеет минимум два прибора, один из которых присоединен к подающей трубе, а второй — к обратной. Такое попарное расположение нагревательных приборов дает возможность каждой паре нагревательных приборов иметь равную теплоотдачу при любых изменениях в системе расхода воды. Академией коммунального хозяйства для решения поставленной задачи была предложена схема отопления, аналогичная схеме инж. Ладинского. Эта схема (рис. 3) также допускает самое широкое изменение (расходов воды в ней без нарушения равномерности прогрева ее по этажам. ![]() Из рассмотрения приведенной схемы видно, что разводящие магистрали в этой системе располагаются не вверху, как это имеет место в обычной однотрубной системе, а внизу, что превращает данную систему в однотрубную с нижней разводкой магистралей. Такое построение схемы, как известно, имеет ряд существенных (преимуществ как монтажного, так и экономического и эксплуатационного порядка. Проходя через верхние нагревательные приборы, вода направляется по обратному стояку вниз, протекая также по правым половинам нагревательных приборов (входя в них через верхние ниппели и выходя через нижние). Для указанного выше разделения потоков воды полевым и правым половинам нагревательных приборов, эти приборы разделяются на два самостоятельных соответствующими глухими ниппельными вставками. Предполагается, что для регулировки теплоотдачи нагревательных приборов этой системы должны быть установлены трехходовые краны. В рассматриваемой схеме каждый нагревательный прибор совмещает в себе обогрев его теплоносителем с различной температурой, что обеспечивает данной системе равномерный прогрев по этажам даже при значительных колебаниях в ней расхода воды. Действительно, пусть имеется описанная выше однотрубная система на пять этажей с десятью последовательно включенными нагревательными приборами. Требуется доказать, что при всех изменениях расхода воды в системе суммарная отдача тепла, например, первого и десятого приборов и суммарная отдача тепла пятого и шестого приборов будут одинаковыми, что соответственно обеспечит и равенство внутренних температур их. Если пренебречь (для приближенных расчетов) изменением коэффициента теплопередачи нагревательных приборов в зависимости от изменения расхода воды, то для заданных условий можно составить следующую систему уравнений: ![]() В приведенной системе уравнений для упрощения расчетов приборы с порядковыми номерами 2, 3 и 4, так же как приборы 5 и 6, рассматриваются как один. Предусматривается, следовательно, как бы наличие трех помещений, в первом из которых стоят приборы 1 и 10, во втором — один прибор с теплоотдачей, равной теплоотдаче приборов 2, 3 и 4, и второй прибор с теплоотдачей, равной теплоотдаче приборов 7, 8 и 9, и в третьем — один прибор с теплоотдачей, равной теплоотдаче приборов 5 и б (приборы 5 и 6 являются по существу одним прибором). В приведенной системе уравнений приняты следующие обозначения: ![]() Все буквенные обозначения без штрихов относятся к расчетному по расходу воды режиму, со штрихами — к измененному. В приведенной системе уравнений равенства (4) и (8) характеризуют теплоотдачу двух приборов первого помещения, (5) и (7) — теплоотдачу двух приборов второго помещения и (6) —теплоотдачу объединенных приборов 5 и б, расположенных в третьем помещении. Если принять отдачу тепла всеми приборами одинаковой, а условия для системы — обычными, то в при- 26 веденной выше системе уравнений можно сделать следующие подстановки: ![]() Такое снижение отдачи тепла системой отопления, не пропорциональное снижению в ней расхода воды, объясняется тем, что уменьшение в ней расхода воды уменьшает скорость ее движения, что приводит к большему ее охлаждению и, следовательно, к большей отдаче ею тепла на каждую единицу расхода воды. При увеличении расхода воды сверх расчетной нормы будет происходить обратное явление. Скорость протекания воды в системе будет возрастать, в соответствии с чем и температурный перепад будет уменьшаться. В итоге двукратное изменение расхода воды в системе вызовет изменение расхода тепла в ней в пределах 10%. В рассмотренном примере внутренняя температура отапливаемых зданий снизилась на 5° С, что, очевидно, может иметь место только в расчетных условиях (—30°С). При повышении этой температуры снижение внутренней температуры будет уменьшаться и при температуре наружного воздуха +10° С составит всего ¦ лишь около 1° С. Кроме того, все приведенные выше расчеты были сделаны без учета теплоемкости зданий, которая все колебания температур будет сглаживать в еще большей степени. ![]() При анализе теплового режима представленной схемы не учитывались изменения коэффициентов теплопередачи нагревательных приборов в связи с уменьшением в системе расхода воды. Фактически снижение рас- 28 хода воды в системе приведет к снижению значений коэффициентов теплопередачи нагревательных приборов, причем снижение это будет, очевидно, тем большим, чем дальше по ходу теплоносителя расположен нагревательный прибор. B рассмотренном примере максимальное изменение коэффициента теплопередачи будет в приборе 10, минимальное — в приборе 1, среднее — в приборах 5 и 6, а так как в данной системе прибор 1 соединен с прибором 10, прибор 5 — с прибором бит. д., то очевидно, что это изменение значений коэффициентов теплоотдачи нагревательных приборов не может оказать существенного влияния на найденные значения внутренних температур как характеристики равномерности прогрева помещений. Несколько ниже будут лишь их абсолютные, значения. Как известно, в обычных двухтрубных и однотрубных системах получить что-либо подобное совершенно невозможно. Следует отметить, что приведенная на рис. 3 схема отопления в практических условиях применения ее может не только не вызывать удорожания стоимости системы, но даже дать некоторое снижение первоначальных затрат. Исследование этой системы по некоторым конкретным проектам показывает, как правило, что удвоения стояков здесь не получится, так как в таких местах, как лестничные клетки и кухни, нет надобности стояки делать двойными (приборы этих этажей могут быть присоединены односторонне к ниспадающим стоякам). В отношении материальных затрат по однотрубной системе с двойными приборами необходимо Отметить, что наличие большого количества расчетных участков в стояках такой системы, во много раз превышающее количество расчетных участков в обычных двухтрубных системах, и двукратное последовательное прохождение теплоносителя через все нагревательные приборы делают излишним проектирование разводящих магистралей данной системы по принципу попутного движения; следовательно, труб для разводящих магистралей в рассматриваемой системе и их изоляции потребуется меньше, чем в обычных двухтрубных и даже однотрубных системах. В итоге, следовательно, можно предполагать, что в предлагаемой системе первоначальные затраты по сравнению с обычными, как двухтрубными, так и однотрубными системами, не будут увеличены, что и было подтверждено конкретными проектными проработками. Эксплуатационные преимущества данной системы совершенно неоспоримы. При конкретном применении описываемой схемы (см. рис. 3) на одном из строящихся объектов было решено не устраивать отопления в кухнях и на лестничных клетках то двойной системе стояков, а присоединять их нагревательные приборы к одним ниспадающим стоякам системы, как это показано на рис. 4. ![]() В некоторых жилых комнатах в порядке опыта было решено также разделить нагревательные приборы и стояки по двум соседним комнатам, но одной и той же квартиры. При этом предполагалось, что даже в том случае, если по каким-либо причинам требуемая теплоотдача каждым нагревательным прибором будет нарушена, то благодаря расположению их в соседних комнатах не будет большого расхождения :их внутренней температуры. ![]() В условиях строительства была поставлена задача снижения конечной температуры воды в системах отопления без увеличения их стоимости. Эта задача была решена за счет отказа от применяемой обычно теплоизоляции разводящих труб систем отопления и за счет использования отдачи тепла этими трубами для целей отопления здания. Это дало возможность получить рентабельность (без увеличения первоначальных затрат) снижения конечной температуры воды в системах отопления не только в малоэтажных зданиях, но и в многоэтажных. Эта рентабельность, естественно, в малоэтажных зданиях выше, чем в многоэтажных. Проведенные расчеты показали, что снятие с разводящих труб изоляции, отказ от устройства подпольных каналов и использование отдачи тепла ими для отопления зданий при снижении конечной температуры воды в системе отопления до 50° С в двухэтажном здании не только не приводит к повышению первоначальных затрат, но даже дает их снижение, по сравнению с типовыми для них проектами, не менее чем ка 30%. При проработке данного положения был решен попутно и вопрос о пересечении горизонтально расположенными трубами балконных дверей. Строителями для этого был несколько приподнят порог балконных дверей. Для многоэтажного здания вопрос снижения конечной температуры воды в системе отопления без удорожания ее стоимости был решен за счет снятия изоляции с разводящих магистралей и использования отдачи тепла ими для отопления первого этажа. Расход воды рассматриваемых систем отопления за счет увеличения в них температурного перепада теплоносителя получается пониженным, в соответствии с чем диаметры труб разводящих магистралей получаются в -пределах 1—2. Трубы таких диаметров легко могут быть проложены над полом первого этажа, не нарушая архитектурного оформления квартир. Такое использование отдачи тепла разводящими магистралями систем отопления может быть выполнено в нескольких вариантах: прокладкой обеих труб над полом первого этажа; прокладкой, подающей трубы над полом и обратной под полом и, наконец, прокладкой обеих труб под полом первого этажа. Теоретически эффективность применения того или иного варианта была определена решением для каждого случая соответствующей системы уравнений и сравнением полученных результатов. Так, например, при прокладке обеих труб над полом первого этажа для определения температуры, которая при этом получится в подполье, можно составить уравнение, определяющее равенство потерь тепла полом первого этажа и потерь тепла через наружные ограждающие конструкции, т. е. через стены и подполье. В общем виде это может быть выражено следующим равенством: ![]() В приведенном уравнении все входящие в него величины являются либо заданными, либо могут быть получены простым расчетом. Температура подполья может быть найдена решением приведенного уравнения. Для рассматривавшейся системы отопления пятиэтажного трехсекционного здания буквенные значения имели следующие величины: (п=1,2; Сс = 0,9 и КГ = 0,22 ккал град/ч м2; П= 156 м~ Fc = 26 м2; FT = 180 м2; tB=8°C и tu=—26°. В этом случае уравнение (9) приобретает следующий вид: 187(18—ta) =23(1п+26) + + 40(?п+26), откуда fn=6,9°C. Полученный результат показывает, что в расчетных условиях при расположении обеих разводящих труб над полом первого этажа в подполье установится температура, равная 6,9° С. Проведенный расчет является в известной степени приближенным, так как он предусматривает, что в подполье установится по высоте равномерная температура, в то время как в условиях замкнутого пространства подполья можно ожидать, что под полом первого этажа установится более высокая температура, а у пола подполья она будет низкой. При расположении обратных разводящих труб системы отопления под полом, а подающих — над полом первого этажа для определения температуры под полом можно составить два следующих уравнения: ![]() Следовательно, вода в обратной трубе системы отопления при прохождении ее по подполью (без изоляции) потеряла 2° С, а температура подполья достигла 11,4° С, поднявшись по сравнению с предыдущим вариантом на 4,5° С. При расположении обеих разводящих труб под полом первого этажа может быть составлена следующая система уравнений, в которой к полученным выше двум уравнениям добавлено третье, определяющее отдачу тепла подающей трубой: ![]() Решение приведенной системы уравнений приводит к следующим результатам: = 51,7° С; (2/=95,2° С; /П=19,5°С, т. е. при расположении обеих разводящих магистралей без изоляции под полом первого этажа температура в подполье поднимается до 19,5° С и, следовательно, в этом случае пол первого этажа не только не будет охлаждать его, но даже в какой-то степени будет его обогревать. В связи с рассматриваемыми примерами представляется целесообразным выяснить, какой из принятых способов прокладки разводящих магистралей отопительных систем является наиболее целесообразным с экономической точки зрения. Найденная для всех трех случаев температура подполья показывает, что с точки зрения потерь тепла (расход топлива) наименее выгодным является вариант, при котором обе разводящие магистрали прокладываются в подполье, под полом первого этажа, поскольку в этом случае температура подполья является наиболее высокой и, следовательно, потери тепла зданием будут максимальными. Для определения первоначальных затрат по всем трем вариантам необходимо выяснить, какой из них требует установки наибольшей поверхности приборов (радиаторов) в первом этаже. При прокладке обеих труб над полом первого этажа их теплоотдача может быть определена равенствами: для подающей трубы ![]() Полученный результат говорит о явной нецелесообразности принятия третьего варианта. Все рассмотренные выше показатели относятся к случаю, когда здание.имеет высотное подполье. Последнее получается главным образом вследствие необходимости прокладки под полом различных трубопроводов и притом в первую очередь разводящих трубопроводов отопления, которые идут обычно по всему наружному периметру здания. Прокладка этих трубопроводов над полом первого этажа устраняет необходимость устройства высокого подполья под всей площадью здания, и тогда первый вариант с прокладкой обеих разводящих труб над полом первого этажа может иметь дополнительные преимущества. Необходимо выяснить, использование каких поверхностей нагрева из существующих (труб или радиаторов) является более целесообразным с точки зрения перспективы. Сравнение тех и других приборов по отдаче ими тепла может быть произведено по формуле ![]() Если подставить в приведенную выше формулу входящие в нее величины для радиаторов и труб, то можно получить следующий результат: ![]() Отсюда видно, что экономичность использования гладких труб в качестве нагревательных приборов почти такая же, как экономичность использования в качестве нагревательных приборов радиаторов. Следует обратить внимание на то, что современные методы строительства жилых зданий сами по себе требуют иных форм монтажа и устройства систем отопления по сравнению с тем, что имелось в этой области до сего времени, поэтому всякого рода панельные системы отопления, изготовленные одновременно со стеновыми конструкциями жилых домов, будут находить в дальнейшем, видимо, все большее и большее применение. Этому будет способствовать еще и то, что интенсивность теплоотдачи трубы в бетоне усиливается. Действительно, если рассмотреть две трубы — свободно расположенную и в бетоне, то теплоотдача той и другой труб может быть определена по формуле ![]() Произведенные по формуле (10) расчеты приводят к следующим результатам: ![]() Отсюда видно, что при размещении трубы в бетоне теплоотдачу ее можно увеличить более чем в 2 раза. Необходимо также отметить, что с точки зрения индустриальное изготовления панельные системы отопления несравненно удобнее открытой прокладки труб в жилых домах и установки в них под окнами чугунных радиаторов, тем более что в жилых домах в настоящее время почти исчезли и ниши под окнами, которые в известной мере укрывали располагаемые в них радиаторы. ![]() ![]() С точки зрения применения однотрубных систем тепловых сетей использование в качестве нагревательных поверхностей гладких труб также является более благоприятным, поскольку применяемые в настоящее время радиаторы являются своего рода сборниками грязи — шлама, окалины и пр. При устройстве панельных систем отопления еще не решены вопросы стыкования отдельных частей системы и проведения в последующем ремонтных работ. Однотрубные системы тепловых сетей. Сборник статей под редакцией Громова Н. К. 1962 |
|