ЭКОНОМИЧЕСКИЕ ПОКАЗАТЕЛИ ТЭЦ С ОДНОТРУБНЫМИ ВОДОПРОВОДНЫМИ ТЕПЛОВЫМИ СЕТЯМИ

А. Эффективность теплофикации распределительных тепловых сетей 200 Вт


Сооружение небольших ТЭЦ на значительных расстояниях от городов может быть оправдано расположением водоемов и освобождением атмосферы городов от загрязнения.

Водопроводная теплофикация может сократить количество холодной воды до 40—50%.

Если дальний водопровод холодной воды должен иметь две нитки, то одна из них может быть заменена 200-градусным теплопроводом.

Такой же должна быть и вся водопроводная сеть городов. При дорогой водопроводной воде, например в городах Дальнего Севера, эти два водопровода целесообразно объединять в единую общую систему горячего и холодного водоснабжения [Л. 19], соединяя теплопроводы 200 В с водопроводами холодной воды че,рез обратную трубу системы отопления. В этом случае потерь воды со сливом не получается. Охлажденная до любого предела вода после системы отопления поступает в водопровод холодной воды.

Определяя эффективность распределительных водопроводов 200 В» для Москвы, оцениваем стоимость прокладки тепловых сетей, рассчитанных на температуру 150° С при двухтрубной системе теплоснабжения от РК в 14 000 руб- ч)Г кал.

Переход на тепловые сети 200 В» позволяет сократить эти расходы на 60%, что дает 14000-0,60 = = 8 400 руб-ч/Гкал.

Столь существенное снижение стоимости тепловой сети заставляет считать переход на распределительные тепловые сети 200 В» актуальным мероприятием, при котором возможно получить снижение стоимости тепла у потребителя, даже большее, чем от его выработки на ТЭЦ с двухтрубной схемой теплоснабжения.

Б. Годовые убытки от прокладки обратных труб в тепловых сетях и экономические показатели ТЭЦ с однотрубными водопроводными тепловыми сетями

Годовые убытки от обратных труб в тепловых сетях ТЭЦ



Ценность тепла в обратных трубах незначительна, что не оправдывает капиталовложений в эти трубы. К числу недостатков двухтрубной системы тепловых сетей следует отнести следующие:

а) От потребителя на ТЭЦ возвращается теплая вода, которую можно использовать на месте для горячего водоснабжения.

б) Значительно увеличиваются расход металла на трубы и капиталовложения в тепловые сети.

в) Снижаются темпы строительства тепловых сетей

г) Создаются благоприятные условия для наружной коррозии труб из-за низкой температуры в обратной магистрали.

д) Задерживается строительство мощных ТЭЦ.

е) Ухудшается гидравлический режим работы тепловых сетей.

ж) Удорожается отпускаемое тепло.

з) Уменьшается выработка электроэнергии на ТЭЦ.

и) Перекачка воды по обратным трубам требует дополнительных затрат электроэнергии.

к) Применение закрытых двухтрубных систем не стимулирует развития местных систем горячего водоснабжения.

В. Экономические показатели теплофикации и районных однотрубных водопроводных систем теплоснабжения на газовом топливе

Для котельной мощностью 150 Гкал/ч при 4 ООО ч использования общей тепловой нагрузки имеем годовой отпуск тепла 150 - 4 000 = 0,6-10 Гкал/год.

Стоимость этого тепла при цене 3 руб/Гкал составит 3-0,6= 1,8 млн. руб.


Стоимость систем теплоснабжения от ТЭЦ и районных котельных с котлами ВТИ и новыми котлами представляется в следующем виде:

1) для ТЭЦ и двухтрубной тепловой сети—3,5 руб/м2 жилой площади;

2) для ТЭЦ и однотрубной тепловой сети—2,1 руб/м2 жилой площади;

3) для районной котельной с котлами ПТВ и двухтрубной тепловой сети—2,2 руб/м2-,

4) для районной котельной с котлами ВКГ и однотрубной тепловой сета 200 Вт — 0,9 руб/м2.


Из сказанного выше следует, что сооружение ТЭЦ и районных котельных с двухтрубными тепловыми сетями нецелесообразно. Водопроводные системы теплоснабжения с районными котельными, оборудованными водотрубными контактными котлами, кроме выигрыша в к. п. д., дают возможность удешевить всю систему теплоснабжения в целом почти в 2,5 раза.

Г. Мощные ТЭЦ с двухтрубными и однотрубными водопроводными тепловыми сетями

Объективные данные теплофикации от ТЭЦ мощностью 300 Мет с однотрубной тепловой сетью 150 В» и 200 В» определяются в следующем виде:



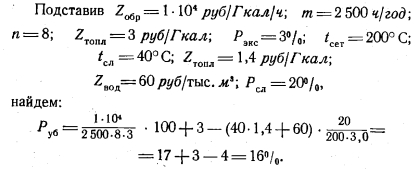
Стоимость твердого топлива определялась для его цены 10 руб/т уел. топлива, то же для газа — 3,5 руб/т уел. топлива. Удорожание тепла за счет стоимости тепловой сети по двухтрубному варианту определялось из

расчета 500-з =0,5 руб/Гкал, где 10 000—стоимость обратных труб тепловых сетей на 1 Гкал/ч для ТЭЦ 300 Мет; 2 500 — часовой коэффициент использования максимума отопительной нагрузки; 8 — установленный ГНТК срок окупаемости, лет. При максимальной температуре воды 200° С происходит удешевление тепловой сети за счет сокращения диаметров труб до 0,6 руб/Гкал. Стоимость водопроводной воды со сливом ее в канализацию по данным счетов на воду в жилых домах Москвы была принята 6 коп/м3.

Количество воды при средней за отопительный сезон температуре наружного воздуха определялось из расчета :


Температура воды в обратных труба при средней зимней температуре наружного воздуха принята по всем вариантам 40° С, что соответствует работе отопительных систем, а не отдельных радиаторов.

Удорожание тепла у потребителя при полном сливе воды из системы отопления в канализацию слагается из топливной составляющей воды и ее цены 6 коп/м3.

Допустимый слив воды получается как отношение удорожания тепла за счет тепловой сети по двухтрубному варианту 150° С к удорожанию тепла при полном сливе воды.

Вероятный слив воды оценивался по графикам горячего водоснабжения.

Удешевление тепла у потребителя при сливе воды вычислялось в результате вычитания из удорожания тепла за счет тепловой сети по двухтрубному варианту стоимости вероятного слива.

Выработка электроэнергии для ТЭЦ высокого давления с параметрами 300 атм, 550° С подсчитывается по формуле


По этой формуле нагревание воды в тепловых сетях 200 В» обеспечивает большую выработку электроэнергии, чем ее нагрев в двухтрубных тепловых сетях с 60 до 150° С.

Известные ТЭЦ с двухтрубными тепловыми сетями имеют выработку электрической энергии на тепловом режиме на 40—70% меньшую, чем дает приведенная формула.

Экономия на топливе равна выработке электроэнергии, умноженной на стоимость перерасхода тепла при не комбинированном производстве в 1 000 ккал/квт-ч.

Общая экономия складывается из удешевления тепла при вероятном сливе и стоимости экономии топлива на выработке электроэнергии.

Выработка энергии по варианту двухтрубной тепловой сети относится к средней температуре регенеративного подогрева 90° С.

Снижение стоимости тепла при водопроводной тепловой сети получается с учетом экономии топлива от выработки 540 квт-ч/Гкал на ТЭЦ по двухтрубному варианту.

Сокращение капиталовложений, расхода металла и труб в тепловых сетях принято пропорциональным произведениям их длины на диаметр.

Экономия на себестоимости воды дана по р. Москве с учетом ее канализации 3 кап/мм.

Экономия в стоимости горячей воды и отопления от ТЭЦ мощностью 300 Мет за 8 лет учитывает отчисления на капитал и соответствует числу часов использования максимальной тепловой нагрузки ТЭЦ 4000 ч/год.

Цена топлива мало сказывается на общей экономии, которая получается от водопроводной тепловой сети при температуре воды в ней до 200° С порядка 50 млн. руб.

Рентабельность ТЭЦ при тепловых сетях 200 Вт резко возрастает.

Однотрубные системы тепловых сетей. Сборник статей под редакцией Громова Н. К. 1962

на главную