Теплота, проникающая в пол при постоянном режиме работы системы отопления

Можно предположить, что при включении отопления между полом и окружающей его средой возникает разность температуры. В действительности положение несколько иное, так как потребность в отоплении возникает тогда, когда наружная температура выше расчетной, а внутренняя температура и температура пола и соответственно верхнего слоя грунта, расположенного под ним, еще почти или совсем не отличаются друг от друга.

Решение дифференциального уравнения изменяющейся во времени линейной теплопроводности для какого-либо слоя на глубине х в момент т дает избыточную температуру $(х, т), вычисляемую в зависимости от d(0;0)=fro — избыточной температуры поверхности пола относительно температуры грунта в момент т = 0. При лучистом отоплении важно прежде всего определить избыточную температуру поверхности пола и теплоту, забираемую этой поверхностью от отапливаемой окружающей среды. Для этого можно воспользоваться так называемым граничным условием третьего рода, согласно которому теплота, представляющая собой алгебраическую сумму теплопоступлений из окружающей среды на поверхность пола за счет конвекции и излучения, проходит через эту поверхность за счет теплопроводности, т. е. для какого-либо момента действительно условие


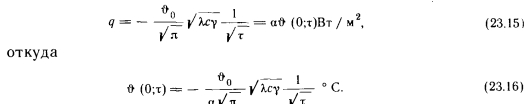
Формирование температуры поверхности пола можно также проанализировать, исходя из следующих соображений. Предположим, что по истечении некоторого времени количество теплоты, проходящей за счет теплопроводности через поверхность пола, было бы таким, как если бы начальную избыточную температуру определяли не в окружающей среде, а на поверхности пола. Используя граничное условие третьего рода и зависимость (23.4), можно записать


Значения, вычисляемые на основании этого предположения и зависимости (23.16), по сравнению с точным значением при т> 100 ч отличаются от него на сотые доли градуса, а при т=1000 ч (т. е. приблизительно через полтора месяца) равны ему. Путем небольших преобразований выражение (23.14) можно привести к виду


Анализ зависимостей (23.16) и (23.17) показывает, что избыточная температура пола тем больше приближается к температуре окружающей среды, чем меньше показатель тепловой активности пола. Даже при сравнительно больших значениях b через месяц после начала постоянного отопления теплопотери через пол по сравнению с теплопотерями через остальные ограждающие конструкции ничтожно малы.

Мачкаши А., Банхиди Л. Лучистое отопление/ Пер. с венг. В. М. Беляева; Под ред. В. Н. Богословского и Л. М. Махова. — М.: Стройиздат, 1985.

на главную