Теплота, проникающая в грунт при периодическом отоплении

Если избыточная температура пола (греющего бетонного слоя) периодически изменяется относительно какого-либо среднего значения с амплитудой и периодом т0, т. е. применяется периодическое отопление, то значение этой температуры в любой момент времени можно определить по формуле:


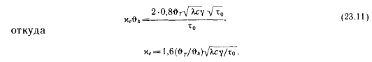
Такое же количество теплоты уходит из грунта во время перерыва в отоплении, если температурные условия вне грунта не изменяются. Поскольку за время перерыва в отоплении из здания может уйти значительный тепловой поток, требующий компенсации, отопительную установку следует рассчитывать на пиковую нагрузку с учетом теплоты, поступающей в грунт во время работы отопления. Исходя из тех же соображений, что и в п. 23.1.1. можно записать:


По этой зависимости получаются уже большие значения коэффициента теплопередачи грунта [хе=1,75 — 2,9 Вт/(м2-К)], однако его влияние на величину т, определяемую выражением (23.6), также сказывается в довольно малой степени

Мачкаши А., Банхиди Л. Лучистое отопление/ Пер. с венг. В. М. Беляева; Под ред. В. Н. Богословского и Л. М. Махова. — М.: Стройиздат, 1985.

на главную