Теплопотери, зависящие от конструкции здания, применяемой отопительной установки

Работа отопительной установки существенно влияет на'температуру ограждающих конструкций и тем самым на/теплопотери. Число уравнений теплового баланса возрастает на одно, поскольку при введении в систему уравнений площади греющей поверхности или ее температуры увеличивается на единицу число определяемых параметров. При этом уравнения теплового баланса принимают следующий вид:


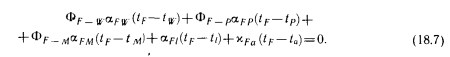
Очевидно, что корни этой системы уравнений отличаются от корней системы уравнений (18.2) и что при применении различных систем отопления корни уравнений также будут разными. Решение данной системы уравнений для различных систем отоплений позволит найти такую систему, при которой теплопотери помещения будут минимальными. Уравнение для стен, отнесенное к 1 м2 поверхности, получается, например, таким:


Чем больше коэффициент облученности отопительного прибора на поверхность пола, иными словами, чем больше излучение отопительного прибора в сторону пола, тем меньше облучение боковых стен (в данном уравнении — член ФF_w

Мачкаши А., Банхиди Л. Лучистое отопление/ Пер. с венг. В. М. Беляева; Под ред. В. Н. Богословского и Л. М. Махова. — М.: Стройиздат, 1985.

на главную