Температурное регулирование

Выше уже рассматривалось, как определить изменение температуры при использовании воды в качестве теплоносителя. Однако следует упомянуть о том, что здесь нужно считать одинаковыми температуру поверхности отопительного прибора и температуру теплоносителя.

Теплоотдача отопительных приборов зависит от избыточной температуры их поверхности Qrk и не зависит от качества теплоносителя. Изменение средней температуры прибора в зависимости от избыточной наружной температуры $а может быть выражено уравнением



Расчеты показывают, что при использовании отопительного прибора в виде радиатора, действующего на горячей воде, где <7 = 465 Вт/м2 и сх = 1163 Вт/(м2-К), избыточная температура теплоносителя отличается на 0,4°С от ftF=tF—В этом случае средняя температура радиатора .может быть принята равной температуре проходящего в нем теплоносителя. Совсем иное положение при использовании масла. Здесь, например, при разности температуры $F=tF—ti = 230°С <7 = 2500 Вт/м2,а аь составляет лишь приблизительно треть значения, действительного для воды. Если коэффициент а(, известен, то


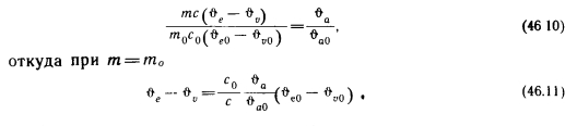
Здесь сразу следует заметить, что при наружной температуре 12°С средняя избыточная температура масла составляет frf = 72°C, а температура = 92°С. Согласно таблицам, расход масла при средней температуре 250—1000°С практически не изменяется. Это облегчает расчет температуры подаваемого в прибор и уходящего из прибора масла, так как здесь действительно уравнение откуда при m = m0


На основании этой зависимости были вычислены две последние строки табл. 46.1, а также построены на рис. 46.1 кривые изменения температуры подаваемого (te) и уходящего из прибора (tv) масла.


Все это говорит о том, что при данных температурных соотношениях величины, вычисляемые с учетом т = const, практически верно отражают действительное положение, т. е. для отопительной установки, работающей на масле в качестве теплоносителя, можно осуществлять температурное регулирование.

Мачкаши А., Банхиди Л. Лучистое отопление/ Пер. с венг. В. М. Беляева; Под ред. В. Н. Богословского и Л. М. Махова. — М.: Стройиздат, 1985.

на главную