ЛУЧИСТЫЕ ОТОПИТЕЛЬНЫЕ ПРИБОРЫ, СКОМБИНИРОВАННЫЕ С СИСТЕМОЙ ВЕНТИЛЯЦИИ

Как уже отмечалось, в общественных зданиях часто возникает потребность в довольно интенсивной искусственной вентиляции. Здесь может быть два решения: самостоятельные система отопления и система вентиляции и комбинация этих систем в общей конструкции.

Классическим примером применения комбинированных систем является воздушное отопление, но довольно часто, в том числе и в Венгрии, используют иные конструктивные решения. Характерной чертой их является то, что они размещаются главным образом под плоскостью потолка и либо покрывают весь потолок (подвесной потолок), либо представляют собой индивидуальные конструкции. Одна из них показана на рис. 36.1. Это комбинация отопительного экрана с системой вентиляции, применение такой конструкции оправдано как в общественных, так и в промышленных зданиях. При ее описании (см. гл. 8) были приведены номограммы и численные результаты экспериментальных исследований, проведенных Научно-исследовательским институтом строительства. Теперь уточним принципиальные основы расчета.

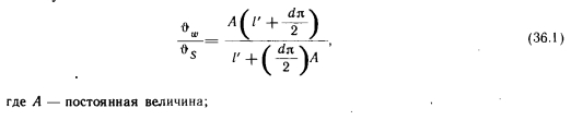
Теоретически, а также с точки зрения техники вычислений решение данной задачи не связано с какими-либо трудностями. Можно без особых сложностей использовать зависимости, применяемые для расчета ленточного отопления и отопительных экранов, разработка которых связана с именем д-ра Золтана Мольнара. В соответствии с этим избыточную температуру, возникающую на стенке наружной трубы и относящуюся к какой-либо заранее принятой средней избыточной температуре отопительного экрана можно вычислить, используя зависимость



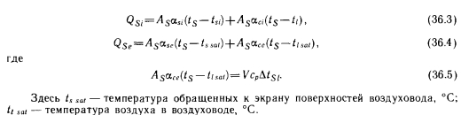
По сравнению с предыдущими случаями разница заключается в том, что здесь стремятся увеличить теплоотдачу верхней стороны отопительного экрана и тем самым обеспечить нагрев воздушного потока, направляемого над неизолированной верхней стороной, поэтому здесь важно оценить коэффициент теплообмена ае, больший, чем а,.

При определении ае трудность состоит в том, что металлические стенки воздуховода прогреваются и выделяют в окружающую среду большое количество теплоты. В действительности как в пространстве под отопительным экраном, так и в пространстве вокруг стенок воздуховода в стационарном состоянии образуется тепловое равновесие, согласно которому сумма количеств теплоты, отдаваемой всем ограждающим конструкциям излучением и конвекцией, равна теплопотерям через ограждающие конструкции. Приближенно можно записать, что


После экспериментального определения этих величин можно установить численные значения ае и вычислить О.

Результаты экспериментов по определению теплоотдачи отопительного экрана вниз и вверх при различных скоростях воздушного потока в воздуховоде, проведенных при одинаковой Os, представлены в табл. 36.1.


Окончательного варианта конструкции, которую изготавливали бы серийно, пока еще нет. Когда же этот вопрос решится, то для новой конструкции необходимо будет точно задавать показатели теплопроизводительности изделия в зависимости от его размеров, скорости воздушного потока и температуры теплоносителя.

При использовании прибора, покрывающего всю поверхность потолка, с подачей вентиляционного воздуха через большое число отверстий, расчет греющей поверхности следует производить аналогичным образом. Скорость подаваемого воздуха и его нагрев здесь не рассматриваются, однако их легко можно вычислить, зная параметры теплоотдачи отопительного прибора и воздуха. Затруднение может быть вызвано тем, что для расчета нужно знать также температуру и теплоотдачу нижней поверхности потолка, которые также следует определять путем измерений; для некоторых зарубежных конструкций необходимые данные можно найти в соответствующих проспектах.


Мачкаши А., Банхиди Л. Лучистое отопление/ Пер. с венг. В. М. Беляева; Под ред. В. Н. Богословского и Л. М. Махова. — М.: Стройиздат, 1985.

на главную