Применение метода Креико при меньших коэффициентах облученности (диаграмма Мачкаши)

Диаграмма Кренко дает значения температуры поверхности отопительного прибора при коэффициенте облученности ср2з=0,2, т. е. для проектирования потолочного отопления жилых и административных зданий и лечебных учреждений. Необходимо отметить, что значения температуры поверхности отопительного прибора, благоприятные с точки зрения теплоощущения (кривая А), только в исключительных случаях обеспечивают одновременно и компенсацию теплопотерь помещений. Часто бывает недостаточна и температура, обеспечивающая допустимое теплоощущение (кривая В). В связи с этим большинство исследователей довольствуется тем, что получаемая по диаграмме температура может быть достаточна для покрытия теплопотерь до температуры наружного воздуха ta — 0 — 5°С, в то время как при более низкой температуре наружного воздуха приходится переходить за температурный уровень, соответствующий приятному теплоощущению. В подтверждение этого ссылаются на частоту повторяемости температуры наружного воздуха, несомненно доказывающую, что в Венгрии число дней с температурой <0—5°С мало (рис.17.7).

Диаграмма Кренко дает очень мало исходных точек для применения греющих поверхностей с высокой температурой, поэтому необходимо было проверить, при какой температуре головы (индекс Ко) и каком тепловыделении данные диаграммы в пределах 90-5 = 0,7—0,2 обеспечивают тепловой баланс головы, и в соответствии с полученным уравнением теплового баланса дополнить диаграмму областью с коэффициентами облученности 0,2—0,001.


Тепловой баланс макушки головы при применении лучистых отопительных приборов, расположенных над головой, может быть выражен зависимостью


Для расчета лучистого теплообмена температуру необогреваемых поверхностей над плоскостью головы tn можно принять равной 16°С. К этим поверхностям (в помещениях с большими теплопотерями) относятся поверхности наружной стены и окна, а также поверхность потолка, считающаяся наружной. (Если бы эти поверхности не были наружными, то и теплопотери были бы меньше, и тогда необходимая температура греющей поверхности не превысила бы допустимую с точки зрения физиологии). Ниже приведен расчет температуры поверхности потолка при коэффициенте теплопередачи перекрытия k = 1,16 Вт/(м2-К) получаем


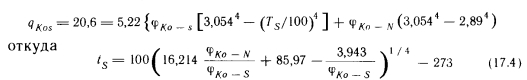
Таким образом, принятое ранее допущение приблизительно верно. Согласно рис. 17.6, при любой паре величин кривой В на диаграмме Кренко соответствует температура ts, при которой удельное количество теплоты, выделяемой излучением, будет неизменно равно qKos = 20,6 Вт/м2. Например, значению фКо s=0,23 соответствует S=60°C. При этом по зависимости (17.1) можно получить


Зная среднее лучистое тепловыделение макушки головы, обеспечивающее удовлетворительное самочувствие при температуре воздуха в помещении =18°С, допустимую при различных коэффициентах облученности ф/с0_5 температуру поверхности отопительных приборов можно установить, пользуясь уравнением


Приведенное в табл. 17.1 сопоставление величин, получаемых в интервале 0,7—0,23 по зависимости 17.4 и диаграмме Крепко, доказывает возможность применения данной зависимости з указанном интервале значений коэффициентов облученности.


Пользуясь зависимостью (17.4), можно определить и при меньших коэффициентах облученности значения ts, при которых тепловыделение макушки, а значит, и всей головы, более всего чувствительной к тепловым воздействиям, может осуществляться в условиях, обеспечивающих приятное теплоощущение. При этом открылась возможность внедрить в жилых и административных помещениях более дешевые ленточную или плинтусную системы потолочного отопления, или при соответствующих условиях применять отопительные экраны. На рис. 17.8 приведена отсутствующая в диаграмме Кренко часть кривой В, вычисленная по зависимости (17.4) для cpKo_s=0,23—0,01.

В крупных одноэтажных промышленных зданиях, имеющих постоянные рабочие места, внутреннюю температуру следует поддерживать на уровне, определяемом характером работы, обеспечивая тем самым теплоотдачу тела человека, соответствующую приятному самочувствию. Тогда зависимость (17.4) может быть обобщена для использования при любой температуре воздуха. Для этого полное удельное тепловыделение макушки головы человека на основании уравнения (17.1) может быть описано зависимостью


В отношении допустимой температуры макушки имеется меньше данных. Если ее, на основании данных Лизе (98), отождествить с температурой лба, то в соответствующее выражение можно будет подставить температуру 33°С, поскольку температура лба, согласно данным измерений, в течение дня остается в среднем не менее 180 этого значения. При выполнении работ, требующих больших физических усилий, средняя теплоотдача с поверхности головы больше значения q Ко=70 Вт/м2, получаемого по диаграмме Кренко. При работе в механической мастерской или, например, для выполнения работы на монтажном участке теплоотдача, принимаемая в расчете, колеблется от 93 Вт/м2 до 116 Вт/м2. Указанные значения теплоотдачи обеспечиваются при температуре воздуха =14—15°С и, соответственно, 12°С. При этом температура необогреваемых конструкций над головой принимается tN = 9—10°С и, соответственно, 7—8°С.


Приведенная зависимость может быть использована для вычисления как допустимой температуры отопительных экранов, обогреваемых паром или горячей (перегретой) водой, так и температуры инфракрасных излучателей.

Мачкаши А., Банхиди Л. Лучистое отопление/ Пер. с венг. В. М. Беляева; Под ред. В. Н. Богословского и Л. М. Махова. — М.: Стройиздат, 1985.

на главную