Определение коэффициента облученности между поверхностями расчетным путем

При общем описании лучистого теплообмена в гл. 2 наряду с зависимостями (2.27) —(2.32), описывающими теплообмен между поверхностью и элементарной площадкой, были представлены и зависимости, касающиеся теплообмена между поверхностями, поэтому теперь при рассмотрении коэффициента облученности придется в какой-то степени вернуться назад. Для вычисления коэффициента облученности между поверхностями

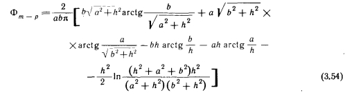
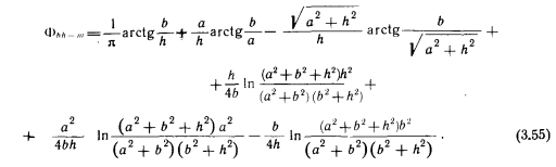
Средний коэффициент облученности перпендикулярных друг другу поверхностей, например, стены bh и потолка можно вычислить по следующей формуле:



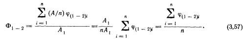
Если в каком-либо помещении нужно определить коэффициент облученности между какими-либо неполными поверхностями, например, между потолком и поверхностями окна, то после разбивки этих поверхностей надо применять метод суммирования. В таком случае (рис. 3.28) Если помещение имеет непризматическую форму, т. е. приведенные выше зависимости недействительны, соответствующую поверхность можно разбить на элементарные площадки и средний коэффициент облученности между поверхностями Ф вычислить как среднее значение коэффициентов облученности <р,- между элементарными площадками и поверхностью. Тогда уравнение (2.32) приобретает следующий приближенный вид:



Чем больше будет число частей, на которые мы разделим поверхность, тем лучше она будет приближаться к точному значению среднего коэффициента Ф_2, вычисляемому по формуле (3.57).

Три приведенных выше случая практически включают в себя почти все «подварианты». При рассмотрении же поверхностей число вариантов значительно меньше, чем при рассмотрении поверхности и элементарной площадки.

Мачкаши А., Банхиди Л. Лучистое отопление/ Пер. с венг. В. М. Беляева; Под ред. В. Н. Богословского и Л. М. Махова. — М.: Стройиздат, 1985.

на главную