Метод С. Олесена, П. Фангера и О. Нильсена

Эти авторы проводили эксперименты по исследованию асимметричного излучения, лишь косвенно связанного с лучистым отоплением [139J. Ими исследована ситуация, когда человек находится между двумя стенами, одна из которых теплая, а другая холодная, причем температура воздуха и других ограждающих конструкций равны между собой. Цель исследований—определить пределы приемлемого теплоощущения. В этих экспериментах обследовались люди, сидящие в купальном костюме, т. е. Ict равна 0,1 кло. Разница между температурой : холодной и теплой стен устанавливалась равной ±5, ±10, ± 15, ± 20 и т. д. до + 40°С. Скорость воздушного потока была менее 0,1 м/с.

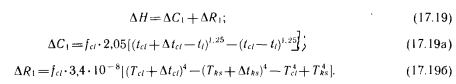
Результаты были затем распространены на одетых людей. При зГом нужно принимать во внимание единицу поверхности кожи, расположенную напротив излучающей поверхности, температура которой ниже или выше температуры кожи. В результате исследований было доказано, что 5% испытуемых ощущали местный дискомфорт на поверхности кожи, когда среднюю радиационную температуру снижали на 5°С. Измерения подтвердили, что снижение на 5°С приводит к снижению температуры кожи на 1°С. Это соответствует такому тепловому потоку АН, который равен сумме изменения конвективного С и лучистого R тепловыделения кожи. Величина АН может быть вычислена по уравнению Фангера:


Если поверхность кожи покрыта одеждой, для которой известно значение 1С, то максимальное снижение температуры на наружной поверхности одежды может быть вычислено следующим образом:


Снижение температуры поверхности одежды вызывается снижением температуры tkS, максимальное значение которого AtkS может быть определено по зависимостям:


Принимая во внимание соответствующие значения из диаграмм Фангера (ср = 50%, Lc = 25,6°С и т. д.), температуру на поверхности одежды можно вычислить следующим образом:


Если предположить, что средняя радиационная температура окружающих поверхностей и температура воздуха равны, то для их вычисления можно применить зависимость


Подставляя значения, вычисленные из приведенных зависимостей, в уравнение (17.19) и производя некоторые упрощения для определения изменения средней радиационной температуры, еще допустимого с точки зрения теплоощущения, можно использовать выражение


Разница, допустимая между радиационной температурой и температурой источника лучистой теплоты, для человека, находящегося в помещении, может быть в конечном итоге вычислена по следующей приближенной зависимости:

Результаты экспериментов позволили сделать следующие выводы:

а) 50% испытуемых ощущали асимметричное излучение в том случае, - если разность радиационной температуры двух противоположных поверхностей составляла 7,4°С независимо от того, в какую сторону были обращены лицом люди, одетые в купальные костюмы;

б) при температуре воздуха, соответствующей приятному тепло- ощущению, 5% людей считали снижение радиационной температуры неприятным, если оно составляло 5°С и более и холодная стена была расположена за их спиной. В том случае, когда холодная стена находилась перед ними, эта величина была равна 6,6° С;-

в) для определения допустимой разности температуры в случае, когда обеспечивается приятное теплоощущение спокойно сидящего человека в помещении с неподвижным воздухом, применима зависимость


Мачкаши А., Банхиди Л. Лучистое отопление/ Пер. с венг. В. М. Беляева; Под ред. В. Н. Богословского и Л. М. Махова. — М.: Стройиздат, 1985.

на главную