Методы сравнения вариантов

Характеристика вариантов. Показатели для их оценки. При проектировании различных сооружений как правило разрабатывают несколько вариантов решения данной проектной задачи и наилучший из них выбирают на основании технико-экономического сравнения.

При проектировании железных дорог различают основные и местные варианты. К основным относятся варианты существенно различного направления трассы, различных значений руководящего уклона, полезной длины приемо-отправочных путей на перспективу, различных решений при пересечении значительных водных препятствий: мостовой переход или тоннельное подводное пересечение.

Примером таких вариантов могут служить варианты выбора направления Кавказской перевальной железной дороги (см. рис. 4.3). К числу основных вариантов можно также отнести варианты направления железной дороги к Сургуту — центру освоения нефтегазовых районов Западной Сибири (рис. 6.1). В результате сравнения различных вариантов было выбрано направление Тюмень — Тобольск — Сургут, по которому и построена железная дорога.

К местным относятся варианты различного положения трассы на отдельных участках: полувыемка на косогоре или прислоненная насыпь у подножья косогора, большая или меньшая глубина выемки на водоразделе, различные радиусы кривой в плане трассы, варианты типов малых водопропускных сооружений.

Необходимое условие, которому должны удовлетворять сравниваемые варианты, — равноценность их по решению поставленных перед проектом задач и в первую очередь — обеспечение расчетных размеров грузовых и пассажирских перевозок при абсолютной безопасности движения поездов. Кроме того, все варианты должны соответствовать действующим строительным нормам и быть в одинаковой степени обследованы и технически проработаны.

При сравнении вариантов проектируемых железных дорог используют стоимостные (денежные) и натуральные показатели. К стоимостным показателям относят капиталовложения (строительную стоимость и стоимость подвижного состава), эксплуатационные расходы и доходы от перевозок. Натуральными показателями могут быть следующие: строительные (потребность в строительных кадрах, машинах, материалах; возможность использования для строительства существующей индустриальной базы и местных строительных материалов; протяженность участков, неблагоприятных в инженерно-геологическом отношении; число и протяженность особо сложных сооружений, включая барьерные места; энергоемкость строительства; сроки строительства); эксплуатационные (потребность в эксплуатационных кадрах, в электроэнергии (топливе) для перевозочного процесса, сроки доставки грузов и пассажиров); показатели, характеризующие уровень воздействия дороги на окружающую среду при строительстве и эксплуатации (ценность отчуждаемой территории, влияние на гидросферу, атмосферу, животный и растительный мир); социальные (степень удовлетворения транспортных нужд населения в районе прохождения дороги, изменение количества рабочих мест в регионе, жилищные и куль-турно-бытовые условия строителей железной дороги и эксплуатационников).

Основные варианты проектируемой железной дороги могут различаться по большинству указанных показателей, местные варианты в большинстве случаев различаются лишь по стоимостным показателям.

Сравнение вариантов по стоимостным показателям. В современной практике сравнение вариантов проектных решений осуществляют в соответствии с Методическими рекомендациями по оценке эффективности инвестиционных проектов и их отбору для финансирования, утвержденными в 1994 г. Госстроем России, министерствами экономики РФ и финансов РФ и Госкомпромом России [37]. Министерством путей сообщения России утверждены “Методические рекомендации по оценке инвестиционных проектов на железнодорожном транспорте” [36]. применяемые при проектировании и строительстве объектов федерального железнодорожного транспорта.

Оценка экономической эффективности инвестиций предусматривает приведение (дисконтирование) разновременных затрат к их ценности в начальный период, используя норму дисконта Е, равную приемлемой для инвестора норме дохода на капитал (0< Е < 1).

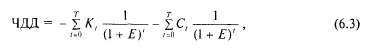
К числу показателей экономической эффективности проекта относится чистый дисконтированный доход (ЧДД), иначе называемый интегральным эффектом (Э11НТ). Этот показатель определяется как сумма текущих (ежегодных) эффектов за расчетный период Т (не менее 15 лет), приведенная к начальному периоду, или как превышение интегральных результатов над интегральными затратами (при постоянной норме дисконта):

Разность Я, — 3, называют эффектом, достигаемым к данному году. В первые годы расчетного периода интегральный эффект будет отрицательным. Сроком окупаемости называют минимальный временной интервал (от начала осуществления проекта), за пределами которого интегральный эффект становится и в дальнейшем остается неотрицательным. Иными словами, это период, по истечении которого первоначальные вложения и другие затраты (эксплуатационные расходы) покрываются суммарными ре-зультатами осуществления проекта (доходами от перевозок).

Лучшим из сравниваемых вариантов является тот, у которого интегральный эффект за расчетный период больше, при этом срок окупаемости у лучшего варианта будет меньшим.

При сравнении основных вариантов проектируемой железной дороги, существенно различающихся длиной линии, результаты R, по вариантам даже при одинаковой грузонапряженности будут различны (при одинаковом тарифе на перевозку в руб/т-км у линии большей протяженности будет больший результат) Местные варианты, практически не различающиеся длиной трассы, имеют одинаковое значение R, и поэтому, учитывая, что затраты 3, представляют сумму капиталовложений К, и ежегодных эксплуатационных расходов С„ сравнение местных вариантов можно осуществлять по формуле

которая соответствует широко применявшемуся в прошлом показателю “суммарные приведенные капиталовложения и эксплуатационные расходы”:

При использовании формулы (6.4) лучшим является вариант с меньшим значением Э„Р.

При одноэтапных (единовременных) капитальных вложениях в начальный год К и постоянных во времени эксплуатационных расходах С формула (6.4) имеет вид:

Формулами (6.5) и (6.5,а) можно пользоваться не только при сравнении вариантов с постоянными эксплуатационными расходами, но и при сравнении вариантов, эксплуатационные расходы которых во времени растут по закону, близкому к линейному (непрерывно и равномерно возрастают).

Результаты сравнения вариантов по приведенным выше показателям могут существенно зависеть от принятой нормы дисконта Е. В рыночной экономике эта величина определяется, исходя из депозитного процента по вкладам (в текущих ценах). На практике она принимается меньше его значения за счет инфляции, однако с учетом риска, связанного с инвестициями, в отдельных случаях Е целесообразно принять выше, чем депозитный процент по вкладам.

Сравниваемые варианты признают равноценными в стоимостном отношении, если разность между сопоставляемыми показателями находится в пределах точности исходных данных. В этом случае следует попытаться уточнить расчеты капиталовложений и эксплуатационных расходов, а особое значение для выбора варианта будет иметь всесторонний анализ натуральных показателей.

При использовании рассмотренных выше стоимостных показателей сравниваемые варианты можно ранжировать по степени их экономической эффективности. Применяя эти показатели, можно также находить оптимальные проектные решения. Например, для выбора оптимального радиуса кривой R в трудных топографических условиях следует протрассировать три варианта при разных радиусах, определить строительную стоимость и эксплуатационные расходы участка дороги между общими точками и подсчитать для всех вариантов значения Эпр.

Изыскания и проектирование железных дорог. — М.: ИКЦ «Академкнига», 2003. - 288 с..

на главную