Оптимизация состава оборудования ИТ и диаметров трубопроводов ТС при заданной конфигурации тепловой сети

При решении задачи оптимизации состава оборудования ИТ и диаметров трубопроводов ТС в статической постановке при заданной конфигурации ТС считаются известными: типоразмеры и технико-экономические показатели генерирующего и сетевого оборудования; вид и стоимостные показатели топлива; замыкающие затраты на электроэнергию. Тепловые нагрузки рассматриваются только в виде горячей воды.

Для удобства решения задачи оптимизации структуры СЦТ, как было отмечено в разд. 4.1, была осуществлена ее декомпозиция на ряд задач по альтернативным типам основных ИТ. Таким образом, происходит решение задачи выбора состава оборудования и оптимизации диаметров трубопроводов ТС для каждого типа основного ИТ отдельно, затем сопоставление оптимальных решений, полученных в этих задачах, и выбор оптимального решения общей задачи.

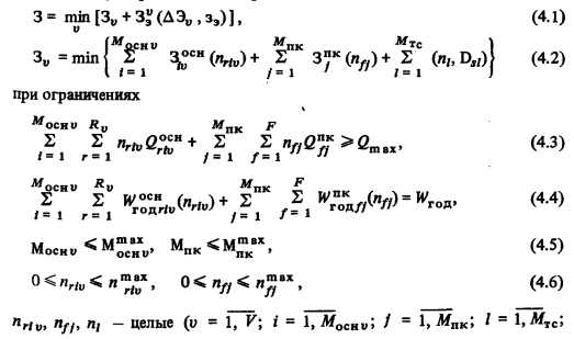
При таком подходе математическая постановка задачи оптимизации состава оборудования и диаметров трубопроводов ТС будет следующей: найти минимум приведенных затрат в СЦТ



В ограничении (4.3) выражено требование к суммарной мощности основных и пиковых ИТ: она должна быть не меньше заданного расчетного значения тепловой нагрузки СЦТ. Ограничение (4.4) означает баланс между годовым отпуском тепловой энергии от основного и пиковых ИТ и годовой потребностью в тепловой энергии СЦТ. Выражения (4.5) и (4.6) соответствуют ограничениям на число основных и пиковых ИТ в СЦТ и количество единичных агрегатов в ИТ.

Для решения поставленной задачи создана математическая модель СЦТ, представляющая собой описание количественных и качественных взаимосвязей между основными и пиковыми ИТ и ТС. Необходимый отпуск тепловой энергии определяется по аналитическим зависимостям, описывающим график Россандера (график тепловых нагрузок по продолжительности). В качестве одного из основных параметров математической модели СЦТ принят показатель доли участия основного ИТ в покрытии расчетной тепловой нагрузки СЦТ, который определяет соотношение мощностей основного и пиковых ИТ, а в конечном итоге и выработки тепловой энергии этими ИТ. Выработка электроэнергии суммарная и на тепловом потреблении, а также расход теплоты на турбины ТЭЦ и АТЭЦ рассчитываются по упрощенным энергетическим характеристикам в зависимости от изменения давления пара в регулируемом отборе. Приведение вариантов структуры СЦТ к одинаковому энергетическому эффекту осуществляется с помощью замыкающих затрат на электроэнергию. Для расчета экономических характеристик вариантов структуры СЦТ используются укрупненные показатели (удельные капвложения, доля амортизации, замыкающие затраты на топливо и т.п.). Ограниченное число типоразмеров оборудования основных и пиковых ИТ, а также стандартных диаметров трубопроводов ТС лри заданной ее конфигурации приводит к сравнительно небольшому числу возможных вариантов состава оборудования и диаметров трубопроводов ТС, что позволяет в качестве метода решения поставленной оптимизационной задачи (4.1) — (4.6) использовать метод полного перебора вариантов.

Алгоритм решения задачи поиска оптимального варианта состава оборудования ИТ и диаметров трубопроводов ТС в статической постановке при заданной конфигурации ТС состоит из ряда шагов.

На первом шаге определяется множество допустимых вариантов состава оборудования основных ИТ, которое формируется исходя из имеющегося набора типового оборудования основного ИТ рассматриваемого типа (набор типов основного ИТ, которые могут быть рассмотрены для данной СЦТ, принимается на первом этапе решения задачи оптимизации СЦТ — см. разд. 4.1), заданного уровня расчетной тепловой нагрузки СЦТ и ряда технологических ограничений.

На втором шаге решается задача оптимизации состава оборудования пиковых ИТ для каждого допустимого варианта состава оборудования основного ИТ рассматриваемого типа.

Третий шаг заключается в решении задачи определения оптимальных показателей ТС при заданной ее конфигурации. При этом для каждого допустимого варианта состава оборудования основного ИТ рассматриваемого типа и оптимального состава оборудования пикового ИТ определяются количество ниток и диаметры трубопроводов на отдельных участках ТС при фиксированных значениях напоров.

На четвертом шаге из совокупности вариантов состава оборудования основного ИТ рассматриваемого типа (каждый вариант состава оборудования основного ИТ дополнен оптимальным составом оборудования пиковых ИГ и ТС с оптимальными диаметрами и числом ниток трубопроводов) выбирается оптимальный по критерию минимума приведенных затрат.

Набор этих шагов повторяется для всех принятых к рассмотрению типов основных ИТ. Оптимальный вариант структуры СЦТ в статической постановке при заданной конфигурации ТС выбирается из совокупности альтернативных вариантов структуры СЦТ, оптимальных для каждого из рассматриваемых типов основного ИТ, с учетом уравнивания их по отпуску электроэнергии.

Задача оптимизации состава оборудовании ИТ и диаметров трубопроводов ТС при заданной ее конфигурации в статической постановке реализована в виде программно-вычислительного комплекса. Комплекс обеспечивает автоматическое формирование допустимых вариантов структуры СЦТ; определение технико-экономических показателей каждого варианта структуры СЦТ; приведение вариантов к одинаковому энергетическому эффекту и выбор оптимального варианта структуры СЦТ по минимуму суммарных приведенных затрат.

Для удобства пользования ПВК и сокращения затрат на подготовку исходных данных вся информация, необходимая для решения задачи, разделена на постоянную и переменную. Постоянная информация не зависит от условий расчета; она содержит возможные типоразмеры единичных блоков основных и пиковых ИТ, стандартный ряд диаметров и способы прокладки ТС, ряд технико-экономических показателей ИТ и ТС и др. Переменная информация определяется условиями конкретного расчета; она включает тепловые и климатические характеристики района тепло- потребления, замыкающие затраты на топливо и электроэнергию, коэффициенты, учитывающие изменение стоимостных показателей оборудования ИТ и ТС применительно к конкретному району теплопотребления.


ПВК состоит из блоков трех групп: блоков основных ИТ, логических блоков и вспомогательных блоков. Укрупненная блок-схема ПВК приведена на рис. 4.2.

Первая группа включает блоки следующих основных ИТ: ROK (районная отопительная котельная), AST (атомная станция теплоснабжения), TF (ТЭЦ на органическом топливе), ATF (атомная ТЭЦ). В каждом из этих блоков определяется множество допустимых составов генерирующего оборудования основных ИТ рассматриваемого типа. При этом если в качестве основного ИТ используются ACT или ТЭЦ на органическом или ядерном топливе, то он-покрывает базисную часть графика тепловых нагрузок. В соответствии с имеющимися рекомендациями доля участия основного ИТ в покрытии расчетной тепловой нагрузки СЦТ (ОоСН) принимается в диапазоне 0,2—0,8 [8,24]. С учетом этого требования и формируются допустимые составы генерирующего оборудования основных ИТ, отличающиеся типоразмерами и числом единичных блоков. Кроме того, для каждого конкретного типа основного ИТ существуют дополнительные технические ограничения, связанные с характеристиками устанавливаемого на этих ИТ оборудования, учет которых позволяет сократить число допустимых вариантов состава генерирующего оборудования основных ИТ. Так, например, нецелесообразна установка на одной РК более шести однотипных котлоагрегатов. Для каждого из сформированных допустимых составов генерирующего оборудования основных ИТ определяются его технико- экономические показатели.

Вторая группа представлена логическими блоками LROK, LAST, LTF, LATF и SROK. Первые четыре из них служат для определения последовательности подключения расчетных блоков, необходимых для анализа СЦТ с данным типом основного ИТ. В блоке SROK происходит проверка расположения РК — в пределах района теплопотребпения или за чертой города. Этим определяется наличие или отсутствие транзитной ТС в СЦТ с РК.

Описание блоков третьей группы (вспомогательных) осуществляется в порядке их подключения к блокам основных ИТ.

В блоке WOD производится ввод исходной информации, необходимой для решения задачи. Предусмотрена возможность как ввода всей информации, так и обновления только переменной ее части, необходимой для выполнения конкретного расчета. В блок WOD передаются также данные по конфигурациям транзитной ТС для каждого рассматриваемого типа основного ИТ, полученные в результате решения задачи оптимизации ТС (см. разд. 4.3).

Блок QGOD служит для определения необходимого отпуска тепловой энергии районам теплопотребпения в течение отопительного и неотопительного периодов. В этом же блоке определяется коэффициент неравномерности графика тепловых нагрузок и температура наружного воздуха, соответствующая срезке температурного графика [8].

С помощью блока VARTIP проводится перебор всех типов основного ИТ, принятых к рассмотрению.

Блок SET служит для определения оптимальных параметров транзитной тепловой сети: количества ниток и диаметров трубопроводов. При этом конфигурация транзитной ТС считается заданной. Для каждого участка транзитной тепловой сети (от основного ИТ до пиковых, расположенных в центрах тепловых нагрузок) из ряда стандартных диаметров формируется множество допустимых диаметров при ограничениях на максимальную скорость сетевой воды и минимальное значение линейного падения давления [34]. Далее определяются: затраты на прокладку и обслуживание в зависимости от диаметра, длины трубопровода и способ его прокладки; затраты на перекачку теплоносителя. Оптимальные диаметр и число ниток для каждого участка ТС выбираются исходя из условия получения минимума приведенных затрат в рассматриваемый участок ТС.

В блоке РКОТ происходит выбор оптимального состава оборудования пиковых ИТ. Формируется множество допустимых вариантов состава оборудования для каждого пикового ИТ, отличающихся числом и типоразмерами единичных котлоагрегатов. При этом выбор генерирующего оборудования пиковых ИТ производится с учетом требований СНиП [35] по надежности теплоснабжения: в аварийной ситуации обеспечивается покрытие требуемой доли расчетной тепловой нагрузки СЦТ в зависимости от категории потребителя. Для каждого допустимого варианта состава оборудования пиковых ИТ определяются капитальные, эксплуатационные и приведенные затраты; оптимальный вариант состава оборудования пиковых ИТ выбирается по критерию минимума приведенных затрат.

Блок GRAF служит для построения графика тепловых нагрузок по продолжительности, расчета температурного графика ТС, а также определения режимных показателей работы теплофикационных турбин ТЭЦ и АТЭЦ. В блоке GRAF отопительный период разбивается на ряд дискретных интервалов времени, в течение каждого из которых тепловая нагрузка СЦТ остается постоянной.Для каждого из полученных интервалов отопительного периода и для неотопительного периода в целом определяются: относительная тепловая нагрузка й соответствующая ей температура наружного воздуха; требуемая тепловая нагрузка отборов турбин; температуры прямой и обратной сетевой воды; давление пара в отборах теплофикационных турбин; полная электрическая и теплофикационная мощности турбин, которые рассчитываются по энергетическим характеристикам теплофикационных турбин ТЭЦ и АТЭЦ, выраженным аналитическими зависимостями.

В блоке SUM каждый допустимый вариант состава оборудования Основного ИТ дополняется оптимальным для данного варианта составом оборудования пиковых ИТ и транзитной ТС заданной конфигурации с оптимальными параметрами. По каждому из сформированных таким образом вариантов структуры СЦТ определяются суммарные приведенные затраты, включающие приведенные затраты в основной и пиковые ИТ и транзитную ТС. Если в качестве основного ИТ в СЦТ используются ТЭЦ на органическом или ядерном топливе, то все допустимые варианты структуры СЦТ в пределах каждого из названных типов основного ИТ предварительно приводятся к сопоставимому виду по электрической мощности и отпуску электроэнергии [5]. В этом случае в суммарные приведенные затраты включаются дополнительные затраты, связанные с уравниванием вариантов по электрической мощности и отпуску электроэнергии. Для каждого типа основного ИТ из множества соответствующих ему допустимых вариантов структуры СЦТ выбирается оптимальный вариант по критерию минимума приведенных затрат. Таким образом, получаем альтернативные варианты структуры СЦТ, число которых определяется количеством рассматриваемых типов основного ИТ.

В блоке END TIP производится проверка окончания перебора всех рассматриваемых типов основного ИТ.

В блоке PRIVED исходя из полученных в блоке SUM альтернативных вариантов структуры СЦТ определяется оптимальный для данных условий тип основного ИТ и соответствующий ему вариант структуры СЦТ. При этом все альтернативные варианты приводятся к одинаковому энергетическому эффекту по аналогии с блоком SUM.

В блоке PRINT осуществляется печать выходных документов. При этом предусмотрена возможность вывода на печать информации как об оптимальном варианте структуры СЦТ, так и об альтернативных вариантах, отличающихся типом основного ИТ. В случае необходимости на печать выводится информация обо всех допустимых вариантах структуры СЦТ в пределах каждого из рассматриваемых типов основных ИТ.

Разработанный ПВК Имеет гибкую блочную структуру, благодаря которой любой из блоков третьей группы может быть подключен к блокам основных ИТ по мере необходимости. В табл. 4.1 приведен состав используемых вспомогательных блоков ПВК для всех рассматриваемых типов основных ИТ. Знак + в графе таблицы означает, что соответствующий блок третьей группы подключается к данному блоку основного ИТ.


Блоки WOD, QGOD, VARTIP, SUM, END TIP выполняются со всеми блоками основных ИТ. Блок SROK необходим только в случае, когда основным ИТ в СЦТ является РК. Блок SET используется со всеми блоками основных ИТ, за исключением случая, когда в качестве основного ИТ рассматриваются РК, расположенные в центрах тепловых нагрузок. Блок РКОТ подключается ко всем блокам рассматриваемых основных ИТ, кроме блока ROK. Блок GRAF выполняется только при наличии в СЦТ ТЭЦ или АТЭЦ, т.е. с блоками ТЕ и ATF. Заключительные блоки комплекса PRIVED и PRINT подключаются после окончания перебора всех типов основных ИТ.

Точка z в блок-схеме (см. рис. 42) — это точка возможного подключения основного ИТ какого-либо другого типа (например, маневренной ТЭЦ, АЭС в режиме АТЭЦ и др.).

Для примера рассмотрим работу ПВК при исследовании СЦТ с ACT в качестве основного ИТ. Согласно блок-схеме рис. 4.2 последовательно выполняются блоки WOD, QGOD и VARTIP. Затем следует логический блок LROK; из этого блока по ветке Нет осуществляется переход в логический блок LAST, откуда по ветке Да переходим в блок основного ИТ — блок AST. В этом блоке, как указывалось ранее,формируется множество допустимых составов оборудования основного ИТ, в данном случае ACT. Далее выполняется блок SET, в котором оптимизируются параметры транзитной ТС от ACT до пиковых ИТ при заданной конфигурации ТС. Затем проходим логический блок LROK и по ветке Нет входим в блок РКОТ. В этом блоке оптимизируется состав оборудования пиковых ИТ, работающих совместно с ACT. Далее выполняется логический блок LAST. По ветке Да обходим блок GRAF и входим в блок SUM. После выполнения блока SUM осуществляется переход в блок ENDTIP. В силу того что в качестве примера рассматривается возможность использования в СЦТ только одного типа основного ИТ — ACT, считаем перебор типов основного ИТ законченным и до ветке Да переходим в блок PRIVED, далее в блок PRINT.

ПВК реализован на алгоритмическом языке ФОРТРАН для ЕС ЭВМ. Он имеет открытую структуру, что позволяет наращивать, а при необходимости изменять макроструктуру ПВК без изменения структуры входящих в его состав программных блоков.

Исследование систем теплоснабжения/Л.C. Попырин, К.С. Светлов, Г.М. Беляева и др. М.: Наука, 1989.

на главную