Оптимизация конфигурации тепловой сети

При решении этой задачи считаются известными: число тепловых районов города, их тепловые нагрузки и необходимые выработки теплоты; тип, число и мощность блоков основного ИТ; суммарная мощность пиковых ИТ; возможные места расположения основного и пиковых ИТ с ограничениями на их производительности по условиям водоснабжения, экологии и т.д.; совокупность возможных трасс тепловых сетей (для каждого типа основного ИТ) с указанием длины отдельных участков и условий прокладки. Требуется для каждого типа основного ИТ определить оптимальную конфигурацию ТС, включающую: расположение основного ИТ; число пиковых ИТ и их размещение; направления и длины теплопроводов от основного ИТ до тепловых районов.

Математическая формулировка задачи выбора наилучшего (оптимального) варианта конфигурации ТС имеет следующий вид:


Неравенства (4.8) учитывают технические ограничения на мощность основного ИТ и число пиковых ИТ. Совокупность возможных конфигураций ТС — Г формируется проектировщиком.

Для решения сформулированной задачи оптимизации конфигурации ТС имеются два метода: вариантный, в котором каждая из исследуемых конфигураций ТС полностью формируется проектировщиком, и оптимизационный, решающий некоторую экстремальную задачу на избыточной схеме, отражающей СЦТ.

Оба метода имеют свои преимущества и недостатки, присущие любому количественному методу анализа технико-экономических задач. К достоинствам вариантного метода следует отнести: гибкость использования всей имеющейся и потенциально доступной проектировщику информации, учитывающей особенности площадок ИТ, рельефа местности и условий прокладки, возможности реконструкции, расширения и изменения режимов работы имеющейся части СЦТ; отсутствие фиксированного уровня детализации каждого из формируемых вариантов; возможность изменения схемы расчета с учетом получаемых промежуточных результатов — дополнительный анализ существенно влияющей информации и пренебрежение малосущественной; простота реализации на ЭВМ, которая позволяет быстро рассчитывать варианты по сложившимся в инженерной практике расчетным зависимостям. Недостатками вариантного подхода являются: полная зависимость качества и полноты анализа вариантов от интуиции и опыта проектировщика, который формирует ограниченное число конфигураций; относительно низкая скорость формирования исходного множества вариантов, связанная с учетом большого количества особенностей конкретной схемы СЦТ, и, как следствие, изучение лишь малой доли потенциально возможных вариантов конфигураций ТС в СЦТ.

Практическая реализация этого подхода приводит к повышению качества проектирования только при рациональном взаимодействии человека и ЭВМ, которое достигается за счет специальных сервисных программ, частично автоматизирующих подготовку исходных данных, контролирующих случайные ошибки человека и представляющих результаты расчетов в удобном для использования виде.

Второе направление исследования конфигураций и параметров тепловых сетей связано с использованием математических моделей тепловой сети, которые в абстрактной форме учитывают основные свойства изучаемого объекта, игнорируя менее существенные, например непрерывность потока вещества и т.д. Применительно к гидравлическим сетям большое распространение получили модели оптимизации сети в рамках развиваемого в Сибирском энергетическом институте СО АН СССР метода избыточной схемы [11, 36]. При использовании этого метода формирование исходной совокупности возможных конфигураций тепловой сети — избыточной схемы — также выполняется проектировщиком, учитывающим конкретные особенности рельефа местности и т.д. Однако в отличие от вариантного метода (в котором вместе с совокупностью участков сети фиксируется конкретный поток теплоносителя) в методе избыточной схемы задается не конкретный поток в сети, а совокупность потоков, удовлетворяющая некоторым общим условиям. Этими условиями в зависимости от цели исследования могут являться, например, соответствие потребностей и расходов в каждом узле схемы — первый закон Кирхгофа и условие потенциальности стационарного потока теплоносителя — второй закон Кирхгофа. Выражая приведенные затраты через возможные характеристики отдельных участков сети (расходы теплоносителя, длины участков, напоры), можно поставить экстремальную задачу, решение которой выделяет оптимальную конфигурацию и потоки теплоносителя. К достоинствам этого направления исследования оптимальных конфигураций ТС относится значительное расширение множества рассматриваемых конфигураций и потоков.

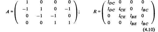
Рассмотрим для примера простейший случай для транзитной сети одного основного ИТ, который может быть расположен на одной из двух площадок В или!), ведущих к центрам двух тепловых районов СиЕ, где установлены ПК. Вариантный метод соответствует указанию последовательности возможных соединений точек (В, D, С, Е) и соответствующих длин участков ТС. На рис. 4.3 показаны два варианта конфигурации сети: первый соответствует последовательности соединений (D, С, Е) и длинам участков ODCJ 1СЕ)> второй - последовательностям (В, С; В, Е) и длинам Та же информация об этих участках тепловой сети, если рассматривать объединение этих вариантов, при использовании метода избыточной схемы представляется в виде матрицы инциденций А и взаимных расстояний R:



Такое представление сети неявно содержит конфигурации (Д С, Е) QBC>ICE) и (Д Е, С) 0BE> ICE) (которые при вариантном подходе должны были явно перечисляться), увеличивая первоначально сформированное проектировщиком множество конфигураций. При малом количестве узлов схемы теплоснабжения и участков тепловой сети различие между вариантным способом и методом избыточной схемы незначительно — для рассмотренного примера первоначальное число вариантов — 2, а возможное — 4. Однако при увеличении числа узлов и дуг схемы теплоснабжения число дополнительных конфигураций экспоненциально быстро растет. Другими достоинствами этого метода являются возможности применения универсальных алгоритмов поиска решения при автоматизации расчетов, строгая формализация задачи и единообразное описание необходимых для расчетов исходных данных.

К недостаткам метода следует отнести: сложность и громоздкость расчетов при значительном увеличении размерности задачи — числа рассматриваемых вершин и участков ТС; отсутствие замкнутых циклов в оптимальных решениях; отсутствие гарантированного получения глобального оптимума, особенно при учете дискретности параметров сети, так как фактически применяются методы случайного поиска в сочетании с локальной оптимизацией [11, 36]. Области применения вариантного и оптимизационного методов различны: для простых схем (транзитные сети от основного ИТ до ПК в центрах тепловых районов) целесообразно использовать вариантный подход, для сложных разветвленных тепловых сетей — оптимизационный.

Исследование систем теплоснабжения/Л.C. Попырин, К.С. Светлов, Г.М. Беляева и др. М.: Наука, 1989.

на главную