Математическая модель теплотехнической части

Технико-экономическая оптимизация ТТЧ АСПТ предполагает оптимизацию структуры технологической схемы, значений термодинамических и расходных ее параметров, а также конструктивно-компоновочных параметров оборудования при заданных внешних условиях и при заданных значениях параметров связи между ТТЧ и РЧ. Соответственно математическая модель ТТЧ имеет два уровня: уровень технологической схемы ТТЧ и уровень элементов оборудования технологической схемы.

Математическая модель технологической схемы ТТЧ, используемая для технико-экономических исследований и оптимизации, включает [20]: описание схемы соединений отдельных элементов оборудования между собой и внешних связей ТТЧ; систему балансовых уравнений; характеристики элементов оборудования;

систему ограничений;

выражение критерия эффективности.

АСПТ, как любая энергетическая установка, характеризуется наличием в ней некоторого числа элементов определенного типа, определенным числом технологических связей между элементами и внешних связей, присутствием замкнутых контуров, образованных обратными связями между элементами. Для АСПТ характерны относительная простота технологических связей и сравнительно небольшое число элементов установки и замкнутых контуров. Основными элементами схемы АСПТ (см. рис. 1.6, б) являются: встроенный реакторный теплообменник (ВРТ), парогенератор (ПГ), промежуточный теплообменник (ПТ), сетевой теплообменник вода- вода (СТВ). Для ACT (см. рис. 1.6, а) основные элементы — ВРТ и СТВ. Для приведенных на рис. 1.6 схем основными элементами могут являться и насосы П и III контуров; в случае необходимости можно рассматривать в качестве элементов схемы и вспомогательное оборудование. Однако, как показывает практика оптимизационных исследований, нет необходимости рассматривать в качестве элементов те части технологической схемы, которые либо не меняют своих качеств при различных сочетаниях параметров, тем самым не влияя на положение оптимума, либо влияют очень слабо.

Систему элементов и связей, моделирующих АСПТ, можно представить в виде графа, в котором каждому элементу оборудования соответствует вершина графа, а связям между элементами или с внешними системами — дуги графа. На рис. 6.3 приведены упрощенные технологические схемы двух вариантов ТТЧ АСПТ и соответствующие им графы. Варианта аналогичен приведенному на рте. 1.6 варианту ТТЧ; вариант б предусматривает дополнительный по отношению к варианту а отпуск пара низких параметров. Для варианта б основными элементами схемы являются ВРТ, ПГ, парогенератор низкого давления (ПГН) и сетевой теплообменник с обогревом паром (СТП). Можно видеть, что графы отличаются простотой и наличием всего лишь двух замкнутых контуров и соответственно двух расчетных циклов.

К внешним связям ТТЧ относится связь с РЧ по параметрам двух энергоносителей: влажного пара на выходе из активной зоны и воды на входе в активную зону. При оптимизации ТТЧ эти параметры принимают некое фиксированное значение, соответствующее значению их для одного из вариантов РЧ АСПТ; при оптимизации АСПТ в целом производится по этим параметрам итерационное уточнение результатов оптимизации РЧ и ТТЧ, т.е. эти параметры также принимают оптимальное значение.

Связи с потребителями пара и горячей воды характеризуются термодинамическими н расходными характеристиками энергоносителей отпускаемой АСПТ теплоты; значения нх диктуются режимами потребителей отпускаемой теплоты и для выбранного варианта схемы АСПТ принимаются заданными.

Зависимость между параметрами связей ТТЧ можно описать уравнениями баланса энергии для каждого элемента установки, уравнениями баланса расходов, гидравлического баланса и баланса изменения энтальпии для каждого теплоносителя в элементах установки. Система уравнений балансов в элементах ТТЧ устанавливает такое соотношение между термодинамическими и расходными параметрами связей, которое обеспечивает получение определенной стационарной нагрузки при определенных конструктивно-компоновочных характеристиках элементов схемы.


При оптимизации ТТЧ АСПТ рассматриваются только стационарные режимы работы (к ним же можно отнести и работу при частичных нагрузках) ; при составлении математической модели ТТЧ в большинстве элементов описание процессов без заметного ущерба для точности расчетов может производиться по сосредоточенным параметрам.

Система балансовых уравнений для моделирования ТТЧ включает:

1) уравнения баланса энергии для каждого к-го элемента оборудования, имеющего / энергоносителей и s электрических связей,


Здесь G — расход энергоносителя в единицу времени; N — мощность электрической связи; р и I — давление и энтальпия (исходящая и входящая связи элемента оборудования отмечены одним и двумя штрихами соответственно), Ар и Ai — характеристики изменения давления и энтальпии процессов в элементах оборудования; у — коэффициент потери энергии в окружающую среду.

Все характеристики процессов и конструкций различных типов оборудования выражаются через совокупность параметров связей Z и конструктивных параметров ZK. В качестве основных характеристик элементов оборудования могут быть приняты следующие:

изменение давления каждого l-то энергоносителя в А:-м элементе (для теплообменников, трубопроводов)



Эти характеристики должны учитывать работу АСПТ как при номинальной, так и при частичной нагрузках. В зависимости от специфики решаемой задачи перечисленные характеристики могут быть использованы не полностью или, напротив, дополнены другими характеристиками, отражающими эту специфику.

Термодинамические, расходные и конструктивные параметры Z и Zк изменяются лишь в пределах возможных и технически осуществимых состояний энергоносителей н конструкций, а также в пределах технически допустимых начальных и эксплуатационных состояний материалов в элементах оборудования. Эти ограничения могут быть отражены в виде неравенств совокупностей параметров


Перечень ограничений может быть расширен путем введения некоторых других ограничений. Например, часто вводятся ограничения на габаритные размеры теплообменников, что связано с условиями их перевозки на железнодорожном транспорте. Вообще состав ограничений определяется в каждом конкретном случае применительно к цели оптимизационной задачи.

В качестве итогового показателя эффективности АСПТ принимаются приведенные затраты по всем основным элементам оборудования с учетом особенностей конструктивно-компоновочных решений и с учетом характеристик внешних условий и связей. Расчет приведенных затрат производится по методике, изложенной в [20]. Требованием этой методики является приведение сравниваемых вариантов к одинаковой мощности источника теплоты (ядерного реактора), а изменения мощности механизмов собственных нужд и расхода отпускаемой на них электроэнергии, приводящие к нарушению неизменности мощности нетто, компенсируются соответствующей замыкающей электростанцией.

Срок сооружения ТТЧ невелик, АСПТ будет работать в неизменном режиме в течение всего периода эксплуатации; с учетом этого мржет быть исключен фактор динамики и выражение для приведенных затрат по ТТЧ АСПТ приобретает простейший вид


Капитальные вложения в ТТЧ АСПТ складываются из капитальных затрат на изменяющиеся элементы: теплообменники, насосы, задвижки, здания и тщ.

Капитальные затраты на теплообменное оборудование рассчитываются по зависимости


Математическая модель ТТЧ АСПТ, предназначенная для оптимизационных исследований, построена с учетом перечисленных составляющих. Алгоритмическая и программная реализации модели проведены для варианта схемы, представленного на рис. 6.3, а, рекомендованного к техническому проектированию. Далее рассматриваются некоторые особенности реализации отдельных составляющих математической модели ТТЧ АСПТ.

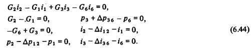
Принципиальная тепловая схема ТТЧ отличается небольшим количеством элементов, связей и двумя технологическими контурами; при расчете тепловой схемы в контурах итерационно уточняются ряд параметров. Для каждого из элементов схемы могут бьпь записаны уравнения балансов; ниже в качестве примера приводятся уравнения балансов для элемента схемы под номером I (см. рис. 6.3, я) — встроенного реакторного теплообменника (для него отсутствуют потери в окружающую среду). Индексы в приведенных уравнениях соответствуют номерам связей; знак + соответствует исходящим связям, знак входящим:


Аналогично (6.44) могут бьпь записаны уравнения для остальных теплообменников и насосов II и III контуров. Суммарное количество балансовых уравнений для изображенных на рис. 6.3 схем ТТЧ АСПТ составляет 35—40 (количество уравнений несколько меняется в зависимости от вида схемы и режима работы установки — при номинальной нагрузке или при частичных).

К числу итерационно вычисляемых величин относятся величины Ар перепадов давлений в теплообменниках по греющим и нагреваемым веществам. Для их определения следует выполнить теплогидравлический расчет теплообменников, а для этого нужно знать значения параметров на входе и выходе из теплообменников, которые, в свою очередь, зависят от Ар; этим и определяется необходимость итерационного счета.

При создании математической модели ТТЧ АСПТ большое значение придается точности представления каждого элемента ТТЧ соответствующей математической моделью, так как точное математическое описание этих элементов обеспечивает достаточную степень детализации математической модели ТТЧ. В данной задаче основное внимание уделяется созданию математических моделей теплообменников, составляющих второй (нижний) уровень математической модели ТТЧ.

Применительно к рассматриваемым вариантам ТТЧ АСПТ (см. рис. 63) необходимо обеспечить расчет теплообменников: ВРТ, ПГ, ПГН, СТП, СТВ и ПТ. Некоторые из этих теплообменников имеют общие математические модели. При появлении новых вариантов схем (что вероятно при дальнейшей разработке вопроса о применении АСПТ) с теплообменниками, отличными от упомянутых, необходимы будут другие модели элементов схемы.

В элементах ПТ и СТВ и греющее, и нагреваемое вещество — вода под давлением; как показывает опыт тепловых расчетов, возможно проводить теплогидравлический расчет этих теплообменников по средним параметрам. В элементах ВРТ, ПГ, ПГН и СТП происходит изменение фазового состояния одного из энергоносителей; это усложняет теплогидравлический расчет, так как при изменении фазового состояния изменяются термодинамические свойства вещества в широком диапазоне, что делает невозможным расчет теплообменников по средним параметрам. Для упрощения расчетов такие теплообменники разбивают на ряд участков (зон), где свойства вещества меняются слабо, и тогда возможен расчет каждого из этих участков по средним параметрам; если же свойства энергоносителей на каком-либо участке (зоне) меняются значительно, то должен быть известен достаточно простой способ расчета участка.

На рис. 6.4 представлены t— 0-диаграммы различных типов теплообменников схемы АСПТ и дана разбивка их на зоны, различающиеся либо процессом (нагрев или охлаждение однофазного вещества, конденсация, кипение) , либо агрегатным состоянием вещества (вода под давлением, перегретый пар, влажный пар). Могут бьпь выделены следующие зоны: ОК — охлаждения конденсата; ЭК — экономайзерная с кипением; Э — экономай- зерная; КП — конденсации пара; И — испарения; УТ — ухудшенного теплообмена; ПП - перегрева пара; ОП - охлаждения пара; ВВ - водо-водяная. Количество зон меняется от одной в модели СТВ (общей для ПТ и СТВ) до пяти в модели ПГ (общей для ПГ и ПГН).


Нетрудно заметить, что отдельные типы зон присутствуют в ряде теплообменников и соответственно из некоторого небольшого количества зон может быть собран любой из представленных теплообменников. Для каждой из этих зон сделано достаточно подробное математическое описание процессов теплообмена, причем зоны OK, ВВ, Э и ПП описываются одними и теми же критериальными зависимостями. В итоге количество необходимых для описания элементов схемы ТТЧ зон уменьшается до пяти: Э, ЭК, УТ, И, КП.

С учетом изложенного для ТТЧ АСПТ принята обобщенная модель теплообменника, позволяющая проводить расчеты любого теплообменника из представленных ранее. Модель располагает достаточно подробным математическим описанием зон и процессов, происходящих в них, а алгоритм расчета теплообменника построен так, что в зависимости от типа аппарата формируется необходимый набор зон и последовательно осуществляется теплогидравлический расчет всех зон согласно принятой методике [53]. Такой подход к созданию математической модели теплообменника ТТЧ АСПТ позволяет при появлении необходимости расчета нового варианта схемы ТТЧ с теплообменником, отличающимся набором зон от рассмотренных, легко расширить модель введением нового блока, формирующего необходимый набор из имеющихся; если же математическое описание какой-либо зоны отсутствует, то его можно ввести в модель в виде отдельного модуля.

На основе обобщенной модели теплообменника АСПТ создана программа прямого (конструктивного) теплового расчета, совмещенного с гидравлическим и прочностным расчетами; результатом расчета по этой программе являются величины длины трубной системы теплообменника, площади теплопередающей поверхности, гидравлические сопротивления энергоносителей и ряд других характеристик.

С применением обобщенной математической модели теплообменника ТТЧ АСПТ для оптимизационных исследований ТТЧ АСПТ и решения частных задач созданы программы прямого и поверочного расчетов тепловой схемы ТТЧ АСПТ.

Результатом прямого расчета тепловой схемы ТТЧ АСПТ являются величины параметров связей схемы и характеристики теплообменников вида (6.26) — (6.28); вычисляются также длины трубных систем теплообменников, весовые характеристики корпусов, суммарные перепады давления по контурам и мощности насосов на перекачку энергоносителей; по зависимости (6.43) определяются стоимости теплообменников, а затем капитальные вложения в установку; определяются приведенные затраты в установку по (6.42).

Исследования режимов работы ТТЧ АСПТ, отличных от номинального, проводятся с помощью программы поверочного расчета схемы ТТЧ; при этом определяются термодинамические и расходные параметры тепловой схемы при заданных конструктивных параметрах теплообменников и фиксированных значениях параметров пара и воды, отпускаемых потребителям. Системы балансовых уравнений, составляемые для поверочных расчетов схемы, будут несколько различаться в зависимости от сочетания определяемых параметров. Сохраняется необходимость итерационного уточнения характеристик вида Арк.

Эти характеристики определяются с помощью программ поверочных расчетов отдельных теплообменников, причем в зависимости от места теплообменника в схеме и цели поверочного расчета (сочетания определяемых параметров) необходимы различные модификации программ поверочных расчетов элементов схемы. К ним относятся следующие варианты: определение конечных температур энергоносителей при заданных расходах и начальных температурах; определение расходов энергоносителей при известных их начальных и конечных температурах; определение расхода и конечной температуры нагреваемого вещества при заданных параметрах греющего вещества и начальной температуре нагреваемого вещества; определение расхода и конечной температуры греющего вещества при известных начальной его температуре и параметрах нагреваемого вещества и т.д.

В основу программ поверочных расчетов многозонных теплообменников положена программа прямого расчета, которая в данном случае используется в итерационном режиме.

Математическая модель ТТЧ АСПТ реализована в виде комплекса программ на языке ФОРТРАН. Этот комплекс включает программы прямого и поверочного расчетов схемы ТТЧ, программы прямого теплового расчета многозонного теплообменника и ряд вариантов программы его поверочного расчета, программы вычисления ограничений, программы вычисления капиталовложений в отдельные теплообменники и в ТТЧ в целом, приведенных затрат в ТТЧ. Комплекс включает также библиотеку вспомогательных программ для расчета коэффициентов теплоотдачи и гидравлических сопротивлений воды и водяного пара в различных зонах, программы определения теплофизических свойств воды и водяного пара, ряд программ управления порядком расчета, контроля и печати промежуточных параметров.

С помощью этого комплекса были проведены оптимизационные расчеты ТТЧ АСПТ; расчеты по оценке влияния отдельных параметров на величину приведенных затрат в ТТЧ АСПТ; исследования ТТЧ АСПТ при режимах, отличных от номинального.

Исследование систем теплоснабжения/Л.C. Попырин, К.С. Светлов, Г.М. Беляева и др. М.: Наука, 1989.

на главную