Лучистые характеристики горелок

Радиационное взаимодействие излучателя с любой поверхностью, как уже указывалось, в общем случае можно рассматривать как взаимодействие между серыми телами, произвольно расположенными в пространстве. На основании закона Стефана—Больцмана, зависимостей, приведенных в разделе 1.3, лучистый теплообмен между ними можно выразить формулой


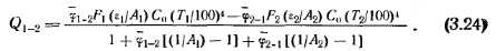
Степень черноты излучающей поверхности горелки, поверхностей ограждений, поверхности одетого человека — это величины одного порядка. Можно считать, что ei = 82~ « 0,85 — 0,9, следовательно, Л1 = Л2. Температура излучающей поверхности значительно выше, чем облучаемой (особенно в системах отопления зданий и при зонном обогреве), отсюда значением Т2 можно пренебречь. При выводе формулы углового коэффициента (3.17) принято. На основании свойства взаимности запишем С учетом вышеизложенного поверхностная плотность энергии (интенсивность облучения) может быть получена из выражения (3.24) в виде


По формуле (3.25) с учетом выражения (3.17) можно построить эпюры облучения от прямоугольного излучателя с любым соотношением сторон а/b, при любом угле наклона его относительно облучаемой поверхности и заданной высоте подвеса. Сравним эпюру облучения, полученную экспериментально, с теоретически рассчитанной по формуле (3.25). Экспериментальные эпюры облучения построены для излучателей, расположенных параллельно плоскости пола [49]. Для такой схемы расположения излучателя формула (3.17) значительно упростится при условии и примет вид




Формула (3.26) выведена для условия, когда сторона b излучателя имеет положительное значение и направление по оси Y. Если необходимо определить угловой коэффициент облученности при расположении стороны а излучателя по оси Y, то в формуле (3.26) необходимо поменять местами а и Ь.

Из графиков (рис. 3.11) видно, что все экспериментальные значения поверхностной плотности энергии легли на теоретические кривые эпюр облучения, построенные по выражению (3.25) с учетом формулы (3.26), относительная погрешность не превышает 2%. Значение коэффициента облученности для системы «элементарная площадка под центром излучателя», излучающая поверхность которого параллельна плоскости пола, определится по асимптотической формуле


В табл. 3.1 приведены значения поверхностной плотности энергии для данного случая расположения излучателя и элементарной площадки, полученные экспериментальным и расчетным путями. Из табл. 3.1 видно, что теоретически полученные по формуле (3.28) значения 7I-2 практически совпадают с экспериментальными данными. Расчеты, связанные с определением и графическим выражением лучистых характеристик ГИГ, можно значительно упростить, если элюру излучения построить в безразмерных координатах. Анализ эпюр облучения показал, что параметрический ряд ГИГ, а также горелки, имеющие сопоставимые геометрические и температурные параметры, имеют одну безразмерную эпюру облучения.



Так как в серийном и экспериментальном производстве применяют излучатели с различным излучающим насадком, ниже приведены результаты исследований по определению энергетической облученности для горелок с одинаковой по геометрическим размерам поверхностью излучения, но с разными излучающими насадками (табл. 3.2) при изменении удельной тепловой нагрузки и расстояния до облучаемой поверхности. Установлено, что характер распределения энергетической облученности одинаков для горелок с разными излучающими насадками при одинаковом расстоянии до облучаемой поверхности и изменении удельной тепловой нагрузки. Однако при этом максимальная энергетическая облученность будет больше при большей удельной тепловой нагрузке.

Родин А. К./Газовое лучистое отопление.— Л.: Недра, 1987.

на главную