Исследование теплообмена в каналах перфорированных керамических насадков горелок

Устойчивая работа ГИГ с перфорированным насадком зависит от многих факторов, в частности от температуры тыльной стороны керамической перфорированной плитки и степени подогрева газовоздушной смеси, поступающей в зону горения. Газовоздушная смесь, проходя через каналы перфорированного насадка, отбирает часть теплоты от их разогретых стенок и поступает в зону горения подогретой (рис. 2.16), что существенно сказывается на работе ГИГ, особенно при минимальной и максимальной удельных тепловых нагрузках. В первом случае при достаточном подогреве газовоздушной смеси повышается устойчивость горения, во втором — интенсивный нагрев газовоздушной смеси повышает температуру излучающей поверхности плитки настолько, что темп ее роста (темп нагрева плитки) превышает темп нагрева газовоздушной смеси, проходящей через каналы, а это приводит к возникновению проскока пламени в камеру смешения. Это явление наглядно иллюстрирует температурный график (см. рис. 2.2).


При работе горелки тепловой режим керамического перфорированного насадка определяется наличием двух противоположно направленных тепловых потоков: <70хл, обусловленного охлаждающим эффектом движения газовоздушной смеси в каналах перфорации и направленного в сторону излучающей поверхности; <7нагр, движущегося от раскаленной излучающей поверхности насадка в глубь его, в сторону тыльной поверхности. При установившемся режиме работы излучателя qOXJl равно нагр. Передача теплоты насадку из зоны горения происходит теплопроводностью, а газовоздушной смеси — за счет теплообмена конвекцией от поверхности стенок каналов насадка.

В результате установившегося теплового режима температуры излучающей Тп и тыльной сторон насадка Тт при определенной тепловой нагрузке достигают постоянных значений. Вследствие непрерывного подогрева газовоздушной смеси в каналах насадка процесс горения стабилизируется и фронт горения удерживается на поверхности насадка, раскаленная поверхность которого служит источником возгорания нагретой газовоздушной смеси. Эффективность возгорания возрастает с повышением температуры в зоне горения. Повышение температуры в зоне горения и, следовательно, излучающей поверхности насадка приводит к постепенному прогреву всего насадка. Из температурных процессов (см. рис. 2.2) видно, что с увеличением удельной тепловой нагрузки повышаются Тк и Тт (для с(0гн=1,75 и 1,55 мм). Это обстоятельство способствует проникновению зоны горения в каналы перфорации, что влечет за собой еще более интенсивный прогрев всего насадка и в итоге приводит к проскоку пламени и выходу из строя излучателя. При этом следует отметить, что проскок пламени возникает при температуре тыльной стороны насадка, меньшей, чем температура воспламенения газовоздушной смеси, вследствие того что скорость распространения пламени в нагретой смеси стала выше скорости движения газовоздушной смеси. Проскок пламени, следовательно, зависит от диаметра каналов перфорации, вида сжигаемого газа (с низкой или высокой теплотой сгорания), удельной тепловой нагрузки, коэффициента теплопроводности материала насадка и длины каналов перфорации (толщины керамической плитки).

Анализ температурных кривых (см. рис. 2.2) показывает, что чем меньше диаметр перфорации, чем больше тепловая нагрузка на плитку, а следовательно, и расход газовоздушной смеси через каналы перфорации, тем выше охлаждающий эффект. Следствие этого—-понижение Тт плитки с увеличением тепловой нагрузки при диаметре перфорации меньше 0,85 мм. При этом проскока пламени не наблюдается во всем диапазоне исследуемых тепловых нагрузок [50]. Сравнив эти данные с результатами исследований, приведенными в работах [12, 33], можно сделать вывод о том, что керамические излучатели с диаметром перфорации, меньшим, чем серийно выпускаемые, с 1,55 и 1,3 мм, более устойчивы к увеличению тепловой нагрузки и к проскоку пламени.

Теплоотдача от стенок каналов газовоздушной смеси для бесконечно малой высоты канала (dh) и единичной поверхности излучающего насадка описывается выражением


Однако решить уравнение (2.68) нельзя, так как профили температур на стенке канала и газовоздушной смеси непостоянны, а кроме того, не известно значение коэффициента теплоотдачи а.

Исследования, проведенные А. М. Левиным и О. Н. Брюхановым [12, 33], позволили выявить характер распределения температуры по стенке канала перфорированного излучателя и предложить математическую зависимость, описывающую температурный профиль стенки канала:


Для определения количества теплоты, передаваемой стенками канала газовоздушной смеси, необходимо определить коэффициент теплоотдачи а и поле температур в канале. В этой связи рассмотрим течение газовоздушной смеси в канале круглой формы, стенки которого нагреты неравномерно. Длина канала — h, радиус поперечного сечения — R. Движение газа происходит за счет разности давления Ар в начальном (входном) и выходном сечениях, которая достаточно мала. Скорость течения газовоздушной смеси (в дальнейшем будем писать — газа) так мала, что число Пекле Ре<1. Газ считается вязким, несжимаемым с плотностью Q=const, течение — ламинарным, процесс — установившимся и стабилизировавшимся, так как участок стабилизации мал по сравнению с длиной канала и не вносит существенных изменений в рассматриваемый процесс. При решении поставленной задачи изменением температуры газа, обусловленным выделением теплоты, связанным с диссипацией энергии путем внутреннего трения, будем пренебрегать, так как оно мало по сравнению с имеющимися разностями температур в канале (следует отметить, однако, что это ограничение несущественно при рассматриваемом методе расчета и может быть снято).

Введем цилиндрическую систему координат с осью Z, направленной по оси канала, причем направление движения газа совпадает с положительным направлением оси Z. Входное сечение канала соответствует Z=0, а выходное сечение — Z = h. В результате симметрии течение от полярного угла 0 не зависит. Расстояние от оси Z обозначим г (0r.R).

Уравнение переноса теплоты в рассматриваемом случае имеет вид [19, 32]



Формулы (2.78) и (2.82) определяют поле температуры в канале, когда температура стенки имеет произвольный закон распределения, а газ в начальном сечении — постоянную температуру, равную температуре стенки в этом сечении. Исследования показали: чем меньше диаметр перфорации и больше удельная тепловая нагрузка, тем меньше коррегируются приведенные выше формулы. Для керамических плиток с диаметром перфорации 1 мм и меньше формулы (2.78) и (2.82) дают хорошую сходимость.


Интересно отметить, что в рассматриваемом случае число Нуссельта Nu есть величина постоянная при любом законе распределения температуры на стенке канала Тст (Z). Анализ полученных результатов позволяет сделать вывод, что число Nu хорошо согласуется с данными, приведенными в работе [47].

Предложенный метод расчета, как видим, достаточно прост и позволяет найти искомые а и Nu без определения собственных значений и собственных функций задач, изложенных в работах [19, 47]. При этом следует учесть и тот факт, что в указанных работах приведены только первые три собственные функции задачи и, следовательно, решения нельзя считать точными.

На основании изложенного можно определить количество теплоты, передаваемой поверхностями каналов газовоздушной смеси при их высоте, равной d,Z:



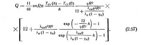
Выражение (2.97) дает точное аналитическое решение задачи. Однако количество теплоты, воспринятой газовоздушной смесью, проходящей через каналы перфорации и поступающей в зону горения, можно определить с учетом экспериментальных данных (температурных профилей на стенке канала). Анализ этих данных показывает, что прослеживаются три характерные температурные зоны в керамическом перфорированном насадке, различающиеся темпом нагрева. В работе [55] изложен метод определения нагре- .ва газовоздушной смеси по температурным профилям на стенке канала перфорации. Использовав полученные расчетные формулы, можно определить охлаждающий эффект газовоздушной смеси, протекающей по каналам перфорации излучающего насадка, а •следовательно, установить, возможен ли проскок пламени в камеру излучателя при заданных геометрических, теплофизических параметрах излучающего насадка и удельном расходе газа.

Родин А. К./Газовое лучистое отопление.— Л.: Недра, 1987.

на главную