ВЕРОЯТНОСТНЫЕ ХАРАКТЕРИСТИКИ НАГРУЗОК СЕЛЬСКОХОЗЯЙСТВЕННЫХ ПОТРЕБИТЕЛЕЙ. РАСЧЕТ НАГРУЗОК ПО ИХ ВЕРОЯТНОСТНЫМ ХАРАКТЕРИСТИКАМ

На основе многолетних экспериментальных исследований определены основные вероятностные характеристики нагрузок сельскохозяйственных потребителей. В качестве примера в таблице 3.1 приведены характеристики нагрузок ряда сельскохозяйственных объектов.

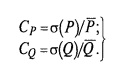
В этой таблице для режимов вечернего и дневного максимумов нагрузки указаны средние значения активной Р и реактивной Q мощностей, т. е. их математические ожидания. Здесь же для указанных режимов приведены расчетные максимальные значения активной и реактивной нагрузок, вычисленные по формуле (3.13) при B = 2 по известным значениям среднеквадратического отклонения или дисперсии D = q2.

Значения дисперсии можно получить из таблицы 3.1 по выражениям:

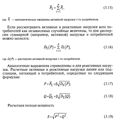
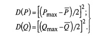
Математическое ожидание Р и Q и дисперсии соответствующие средние квадратические отклонения) представляют основные вероятностные характеристики электрических нагрузок сельскохозяйственных потребителей. С помощью этих характеристик определяют расчетные электрические нагрузки линий и подстанций, к которым присоединено любое число разных объектов. С этой целью используют известные из курса теории вероятностей теоремы сложения математических ожиданий и сложения дисперсий.

Рассматривая электрические нагрузки как случайные величины, можно, как известно, для математического ожидания суммарной

(например, активной) нагрузки n потребителей РE записать:

Расчеты сетей напряжением 10... 110 кВ по изложенной методике можно выполнить на ЭВМ. Для этого при подготовке исходных данных записывают на специальных носителях и вводят в ЭВМ характеристики и шифры потребителей, нагрузки которых должны суммироваться. Суммирование выполняют по типовым суточным графикам активной и реактивной мощностей. Некоторые из этих графиков приведены в таблицах 3.2 и 3.3.

Коэффициенты сезонности активной и реактивной нагрузок для каждого месяца относительно годовой максимальной активной нагрузки приведены в таблице 3.4.

Значения математических ожиданий активных и реактивных мощностей в различные часы суток четырех сезонов приведены в процентах от математического ожидания максимальной активной нагрузки каждого сезона. Кроме того, для всех часов суток каждого сезона даны значения коэффициентов вариации, равные отношению среднего квадратического отклонения к соответствующему математическому ожиданию, %,

Приведенные в таблицах коэффициенты вариации соответствуют значению математического ожидания максимальной нагрузки Рст=100кВт.

Зная математическое ожидание и коэффициенты вариации, можно определить средние квадратические отклонения и дисперсии нагрузок в каждый час суток соответствующего сезона. Используя теоремы сложения математических ожиданий и дисперсий, по изложенной ранее методике можно найти для каждого часа расчетные нагрузки подстанций или участков линий, к которым присоединено несколько потребителей с известными типовыми графиками.

Типовые графики целесообразно использовать при сравнительно точных расчетах, например при определении потерь мощности и энергии в эксплуатируемых электрических сетях.

И. А. Будзко, Т. Б. Лещинская, В. И. Сукманов, Электроснабжение сельского хозяйства, М., Колос, 2000

на главную