ПРОГНОЗИРОВАНИЕ ЭЛЕКТРОПОТРЕБЛЕНИЯ И КОЭФФИЦИЕНТА РОСТА НАГРУЗОК

Прогнозы электропотребления в сельских районах необходимы для составления перспективных энергетических балансов страны, а также для определения расчетных нагрузок при разработке схем перспективного развития электрических сетей напряжением 35...110 кВ.

Определение перспективных нагрузок на 15...20 лет — чрезвычайно сложная задача. При ее решении необходимо учитывать многочисленные факторы, влияющие на расширение сельской электрификации. Должен быть прежде всего учтен ее уровень стационарных, особенно тепловых, и мобильных процессов. Необходимо исходить из предполагаемых капиталовложений и роста фондовооруженности в сельском хозяйстве, темпов роста электропотребления, экономических и климатических особенностей данной зоны.

Порядок ожидаемого значения электропотребления и электрических нагрузок на 15...20 лет вперед можно приблизительно оценить, исходя из достигнутого уровня по закону сложных процентов. Так, до 1990 г. при стабильном росте сельской электрификации ежегодный прирост производственного электропотребления составлял 5...6 %, а коммунально-бытового — 3...5 %.

Для прогнозирования электропотребления можно также использовать имеющийся в каждом регионе ряд данных о годовом потреблении энергии в сельском хозяйстве за последние 20...25 лет. Его называет временным рядом.

Временные ряды электропотребления могут быть использованы для его прогнозирования двумя способами. По первому способу, имея помимо данных об электропотреблении сведения о других показателях сельскохозяйственного производства, можно для рассматриваемого региона установить удельные нормативы электропотребления на 1 га пашни, одного работника, единицу продукции и т. п. Если на период прогноза известны соответствующие показатели, то с учетом динамики нормативов можно выполнить прогноз электропотребления.

Второй способ заключается в непосредственной экстраполяции временного ряда электропотребления. Такую экстраполяцию выполняют несколькими методами, выбор которых определяют длиной известного временного ряда, сроком прогнозирования, наличием дополнительной информации о характере электропотребления и другими факторами.

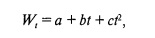
Наиболее простые из этих методов заключаются в том, что временной ряд аппроксимируют некоторой функцией времени, например полиномом второй степени (параболой):

где a, b и с — коэффициенты, определяемые по методу наименьших квадратов на основе данных временного ряда.

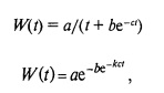
Для долгосрочного (на срок до 30 лет) прогнозирования электропотребления целесообразно использовать так называемые S-образные функции:

где a, b, с и к — постоянные коэффициенты, вычисляемые по методу наименьших квадратов; е — основание натуральных логарифмов.

Помимо конкретных проектов электроснабжения сельских районов проектные организации систематически разрабатывают для крупных регионов (область, край, республика) схемы перспективного развития электрических сетей напряжением 35... 110 кВ. В этих схемах рассматривают принципиальные вопросы развития указанных сетей и намечают наилучшие варианты реконструкции существующих и строительства новых электрических линий и подстанций.

В схемах расчетные нагрузки на шинах 10 кВ центров питания (ЦП) определяют на последний год рассматриваемой пятилетки и на конец последующей за рассматриваемой. Считают, что нагрузки каждого из ЦП складываются из двух составляющих:

  • общей нагрузки (без учета вновь вводимых крупных потребителей);
  • дополнительной нагрузки вновь вводимых крупных потребителей — животноводческих комплексов, птицефабрик, тепличных комбинатов и других с расчетной нагрузкой 200 кВт и более.

Первую составляющую определяют по фактической нагрузке каждого из ЦП, установленной с помощью измерений, умножая ее на коэффициент роста нагрузок. Его вычисляют следующим образом. По одному из указанных ранее способов определяют для области или края суммарное прогнозируемое электропотребление в расчетный год Т. Для этого же года отдельно вычисляют потребление электроэнергии новыми крупными сельскохозяйственными потребителями, которые будут введены в действие за рассматриваемый период от исходного t0 до расчетного года Т. К таким потребителям относят крупные животноводческие комплексы, птицефабрики и др. Тогда средний коэффициент роста нагрузок на подстанциях напряжением 110/10 и 110/35 кВ рассматриваемой области

В области могут быть сельскохозяйственные потребители с установившимся объемом электропотребления. К ним относят полностью введенные в строй животноводческие комплексы, тепличные комбинаты, оросительные системы и другие подобные объекты, обычно питающиеся от отдельных подстанций напряжением 110/10 и 35/10 кВ. В этом случае средний коэффициент роста нагрузок остальных подстанций

где W — электропотребление неразвивающихся потребителей с установившимися объемами электропотребления.

Вторую составляющую нагрузки центров питания — нагрузку вновь вводимых крупных потребителей — определяют в зависимости от типа потребителя. Нагрузки животноводческих комплексов, проектирование которых к моменту разработки схемы закончено, принимают по данным проектов (см. также п. 3.6). Нагрузки остальных животноводческих комплексов и других сельскохозяйственных объектов, строительство и расширение которых планируют на расчетный период, принимают по данным таблицы 3.1.

И. А. Будзко, Т. Б. Лещинская, В. И. Сукманов, Электроснабжение сельского хозяйства, М., Колос, 2000

на главную